🇳🇴 🇬🇧 🇩🇪 🇨🇿 🇫🇮

Meteor Söderforsin yllä 2025-08-19 22:16:41 UTC

KML-tiedosto  |  Interaktiivinen kartta

Kartta näyttää meteorin suuntahavainnot. Vaaleammat viivat näyttävät suunnat havaintoasemilta meteorin ilmestyessä, ja tummemmat viivat näyttävät, missä se viimeksi nähtiin. Sininen nuoli näyttää meteorin näkyvän lennon.

static map
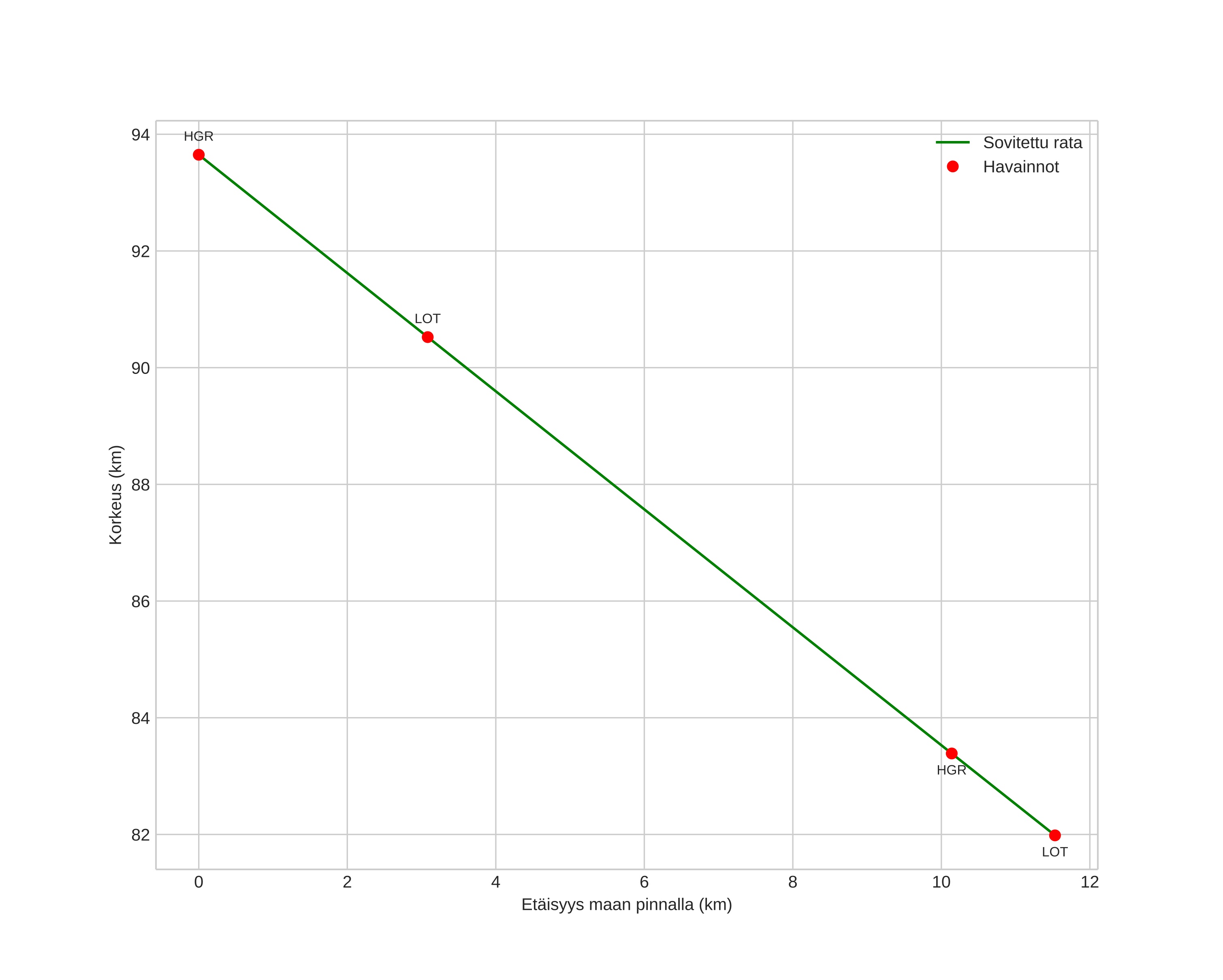
height profile
Meteorin ilmakehärata:
Alkukorkeus: 95,1 km
Loppukorkeus: 82,0 km
Alkupiste: 60,307N 17,541E
Loppupiste: 60,298N 17,310E
Suunta: 265,4°
Kallistuskulma: 45,7°
Tulonopeus: 54,0 km/s
Radiantin R,A,: 01:44 (26,2°)
Radiantin Dekl,: 40,1°
Meteoriparvi: Sporadinen
Meteoroidin rataelementit:
Perihelietäisyys: 0,639 AU
Eksentrisyys: 0,471
Inklinaatio: 122,6°
Nousevan solmun pituus: 146,8°
Perihelin argumentti: 278,7°
Keskianomalia: 315,4°
Epookki: 2025 AUG 19 22:16:41
orbit plot

Ei-interaktiivinen kuvaaja | Interaktiivinen kuvaaja

position vs time
speed and acceleration

Hagar (HGR) cam3


gnomonic
Videot:
• Gnomoninen
• Gnomoninen koordinaateilla
• Alkuperäinen
• Alkuperäinen koordinaateilla
Kuvat:
• Gnomoninen
• Gnomoninen koordinaateilla
• Alkuperäinen
• Alkuperäinen koordinaateilla
Tekstitiedostot:
• Havaintoraportti
• Observaatio
• Koordinaatit
• Loki
Kirkkaus

Loten (LOT) cam3


gnomonic
Videot:
• Gnomoninen
• Gnomoninen koordinaateilla
• Alkuperäinen
• Alkuperäinen koordinaateilla
Kuvat:
• Gnomoninen
• Gnomoninen koordinaateilla
• Alkuperäinen
• Alkuperäinen koordinaateilla
Tekstitiedostot:
• Havaintoraportti
• Observaatio
• Koordinaatit
• Loki
Kirkkaus