🇳🇴 🇬🇧 🇩🇪 🇨🇿 🇫🇮

Meteor over Fossbergom 2025-08-19 22:36:36 UTC

KML-fil  |  Interaktivt kart

Kartet viser peilingene for meteoren. De lysere linjene viser retningene fra observasjonsstedene for meteorens tilsynekomst, og de mørkere linjene viser hvor den sist kunne sees. Den blå pila viser meteorens synlige ferd.

static map
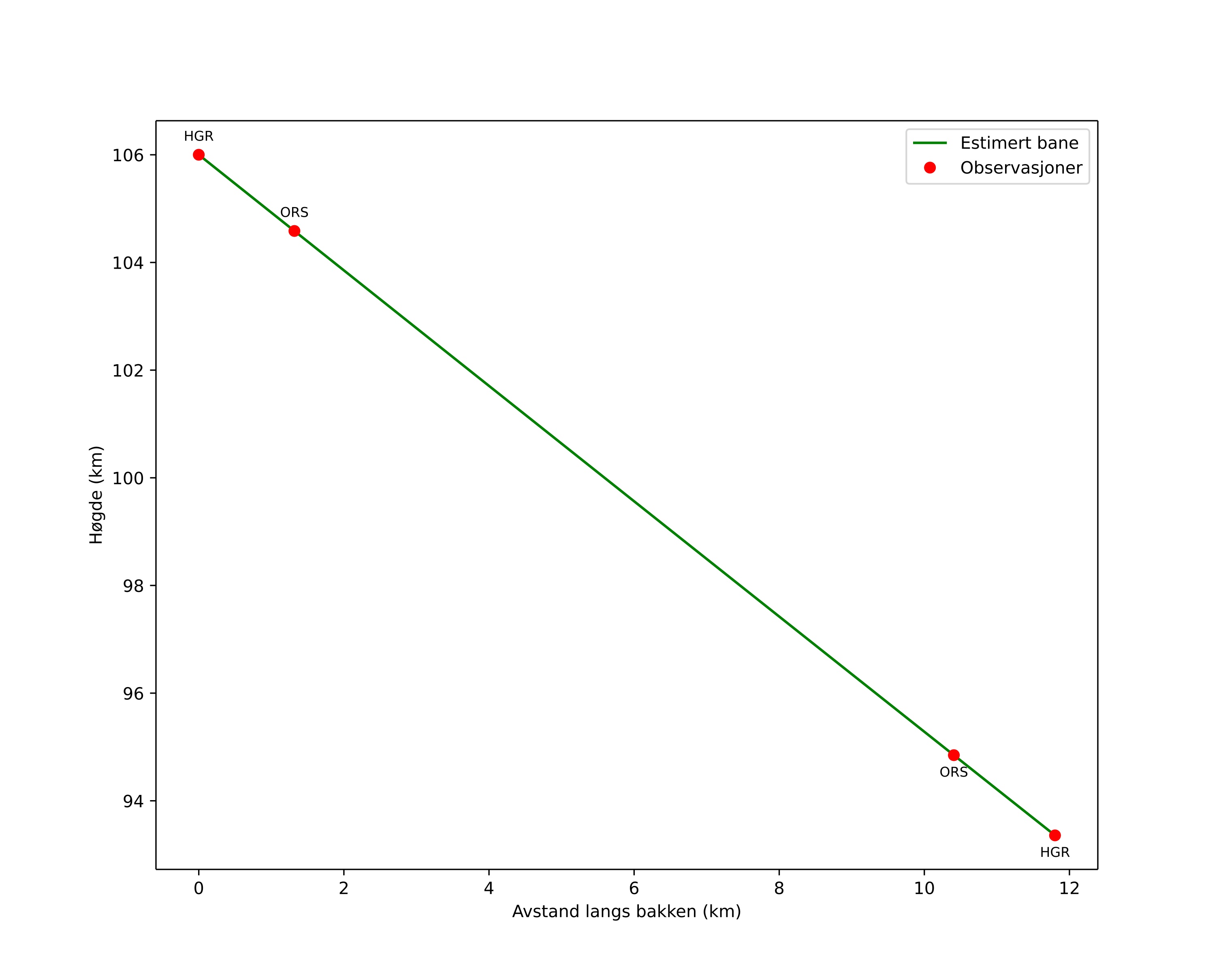
height profile
Meteorens atmosfæriske bane:
Starthøgde: 105,9 km
Slutthøgde: 93,6 km
Startposisjon: 62,077N 8,598E
Sluttposisjon: 61,993N 8,467E
Retning: 216,1°
Fallvinkel: 46,7°
Inngangshastighet: 60,2 km/s
Radiantens rektascensjon: 04:25 (66,4°)
Radiantens deklinasjon: 64,3°
Meteorsverm: Perseidene
Meteoroidens baneelement:
Perihelavstand: 0,909 AU
Eksentrisitet: 1,160
Inklinasjon: 106,8°
Knutelengde: 146,8°
Perihelargument: 144,1°
Midlere anomali: 1,7°
Epoke: 2025 AUG 19 22:36:36
orbit plot

Ikke-interaktivt plott | Interaktivt plott

position vs time
speed and acceleration

Hagar (HGR) cam1


gnomonic
Videoer
• Gnomonisk
• Gnomonisk med koordinater
• Original
• Original med koordinater
Bilder
• Gnomonisk
• Gnomonisk med koordinater
• Original
• Original med koordinater
Tekstfiler
• Deteksjon
• Observasjon
• Koordinater
• Logg
Lysstyrke

Orsta (ORS) cam1


gnomonic
Videoer
• Gnomonisk
• Gnomonisk med koordinater
• Original
• Original med koordinater
Bilder
• Gnomonisk
• Gnomonisk med koordinater
• Original
• Original med koordinater
Tekstfiler
• Deteksjon
• Observasjon
• Koordinater
• Logg
Lysstyrke