🇳🇴 🇬🇧 🇩🇪 🇨🇿 🇫🇮

Meteor über Fossbergom 2025-08-19 22:36:36 UTC

KML-Datei  |  Interaktive Karte

Die Karte zeigt die Peilungen für den Meteor. Die helleren Linien zeigen die Richtungen von den Beobachtungsorten beim Erscheinen des Meteors, und die dunkleren Linien, wo er zuletzt gesehen wurde. Der blaue Pfeil zeigt die sichtbare Bahn des Meteors.

static map
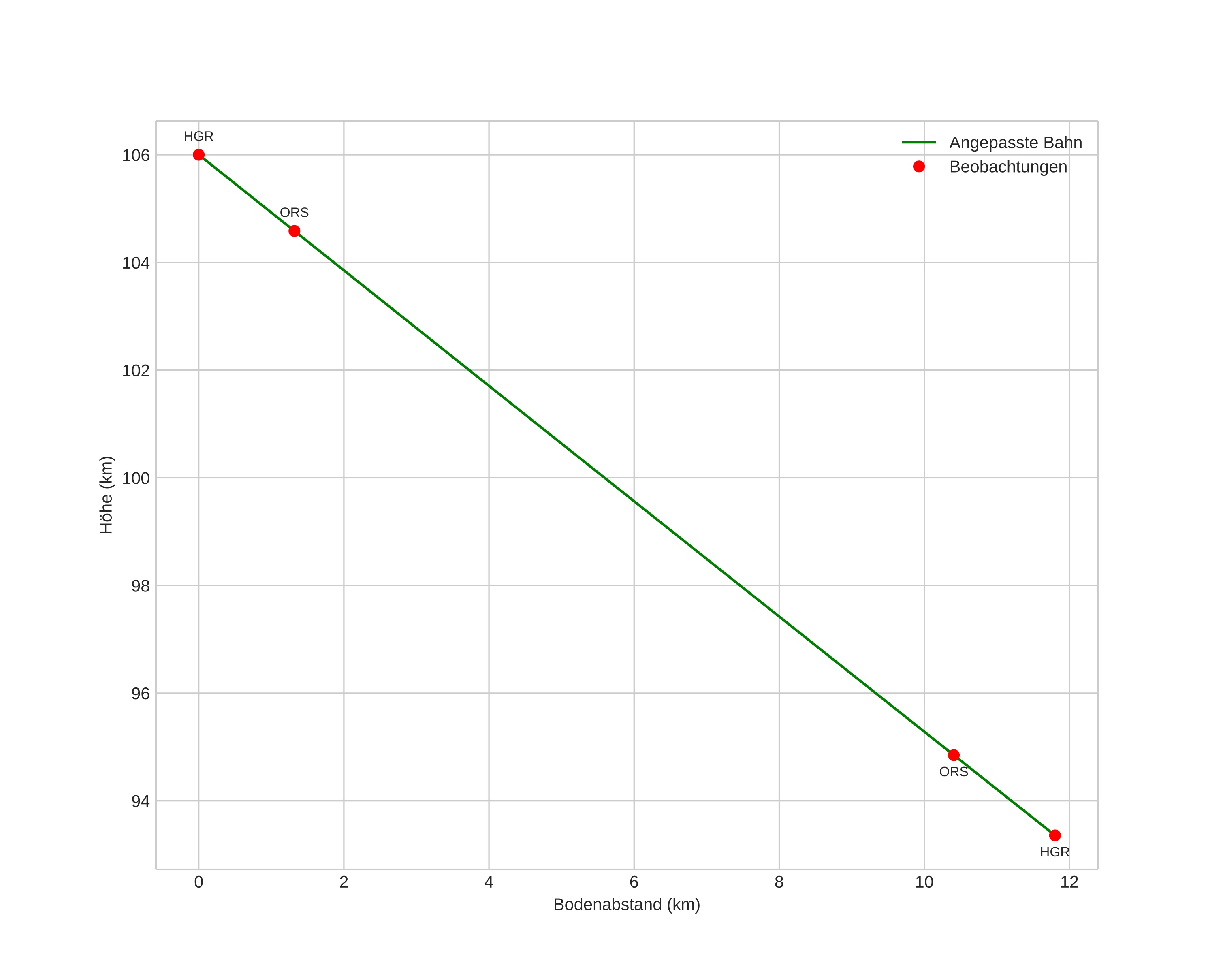
height profile
Atmosphärische Bahn des Meteors:
Anfangshöhe: 105,9 km
Endhöhe: 93,6 km
Startposition: 62,077N 8,598E
Endposition: 61,993N 8,467E
Richtung: 216,1°
Neigungswinkel: 46,7°
Eintrittsgeschwindigkeit: 60,2 km/s
Rektaszension des Radianten: 04:25 (66,4°)
Deklination des Radianten: 64,3°
Meteorstrom: Perseiden
Bahnelemente des Meteoroiden:
Periheldistanz: 0,909 AU
Exzentrizität: 1,160
Inklination: 106,8°
Länge des aufsteigenden Knotens: 146,8°
Argument des Perihels: 144,1°
Mittlere Anomalie: 1,7°
Epoche: 2025 AUG 19 22:36:36
orbit plot

Nicht-interaktives Diagramm | Interaktives Diagramm

position vs time
speed and acceleration

Hagar (HGR) cam1


gnomonic
Videos
• Gnomonisch
• Gnomonisch mit Koordinaten
• Original
• Original mit Koordinaten
Bilder
• Gnomonisch
• Gnomonisch mit Koordinaten
• Original
• Original mit Koordinaten
Textdateien
• Erkennung
• Beobachtung
• Koordinaten
• Protokoll
Helligkeit

Orsta (ORS) cam1


gnomonic
Videos
• Gnomonisch
• Gnomonisch mit Koordinaten
• Original
• Original mit Koordinaten
Bilder
• Gnomonisch
• Gnomonisch mit Koordinaten
• Original
• Original mit Koordinaten
Textdateien
• Erkennung
• Beobachtung
• Koordinaten
• Protokoll
Helligkeit