🇳🇴 🇬🇧 🇩🇪 🇨🇿 🇫🇮

Meteor Fossbergomin yllä 2025-08-19 22:36:36 UTC

KML-tiedosto  |  Interaktiivinen kartta

Kartta näyttää meteorin suuntahavainnot. Vaaleammat viivat näyttävät suunnat havaintoasemilta meteorin ilmestyessä, ja tummemmat viivat näyttävät, missä se viimeksi nähtiin. Sininen nuoli näyttää meteorin näkyvän lennon.

static map
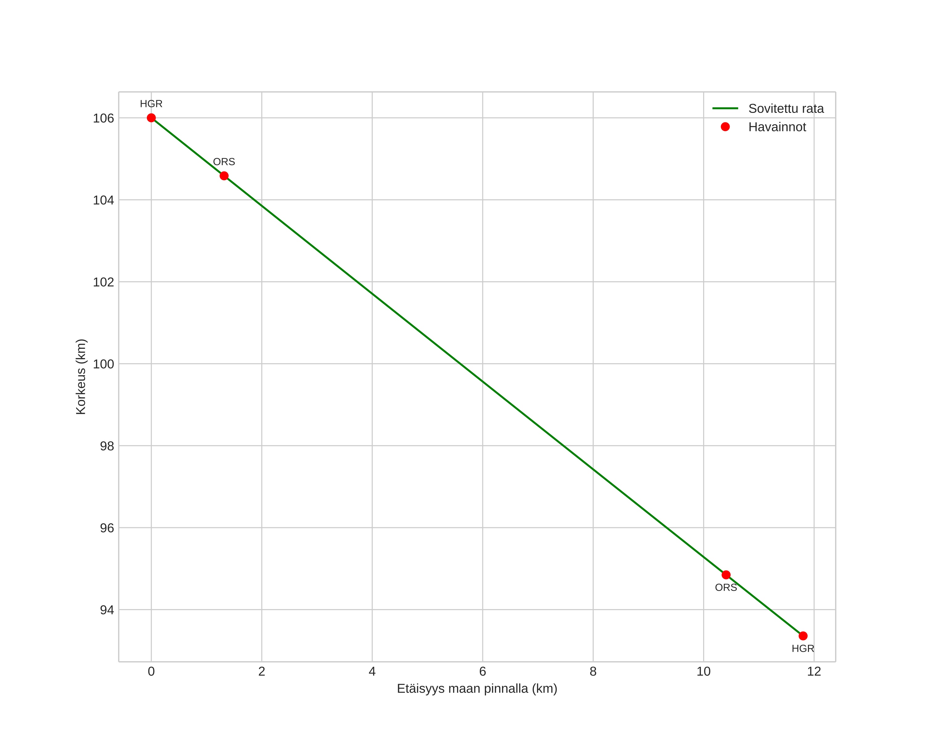
height profile
Meteorin ilmakehärata:
Alkukorkeus: 105,9 km
Loppukorkeus: 93,6 km
Alkupiste: 62,077N 8,598E
Loppupiste: 61,993N 8,467E
Suunta: 216,1°
Kallistuskulma: 46,7°
Tulonopeus: 60,2 km/s
Radiantin R,A,: 04:25 (66,4°)
Radiantin Dekl,: 64,3°
Meteoriparvi: Perseidit
Meteoroidin rataelementit:
Perihelietäisyys: 0,909 AU
Eksentrisyys: 1,160
Inklinaatio: 106,8°
Nousevan solmun pituus: 146,8°
Perihelin argumentti: 144,1°
Keskianomalia: 1,7°
Epookki: 2025 AUG 19 22:36:36
orbit plot

Ei-interaktiivinen kuvaaja | Interaktiivinen kuvaaja

position vs time
speed and acceleration

Hagar (HGR) cam1


gnomonic
Videot:
• Gnomoninen
• Gnomoninen koordinaateilla
• Alkuperäinen
• Alkuperäinen koordinaateilla
Kuvat:
• Gnomoninen
• Gnomoninen koordinaateilla
• Alkuperäinen
• Alkuperäinen koordinaateilla
Tekstitiedostot:
• Havaintoraportti
• Observaatio
• Koordinaatit
• Loki
Kirkkaus

Orsta (ORS) cam1


gnomonic
Videot:
• Gnomoninen
• Gnomoninen koordinaateilla
• Alkuperäinen
• Alkuperäinen koordinaateilla
Kuvat:
• Gnomoninen
• Gnomoninen koordinaateilla
• Alkuperäinen
• Alkuperäinen koordinaateilla
Tekstitiedostot:
• Havaintoraportti
• Observaatio
• Koordinaatit
• Loki
Kirkkaus