🇳🇴 🇬🇧 🇩🇪 🇨🇿 🇫🇮

Meteor Saulandin yllä 2025-09-07 00:35:15 UTC

KML-tiedosto  |  Interaktiivinen kartta

Kartta näyttää meteorin suuntahavainnot. Vaaleammat viivat näyttävät suunnat havaintoasemilta meteorin ilmestyessä, ja tummemmat viivat näyttävät, missä se viimeksi nähtiin. Sininen nuoli näyttää meteorin näkyvän lennon.

static map
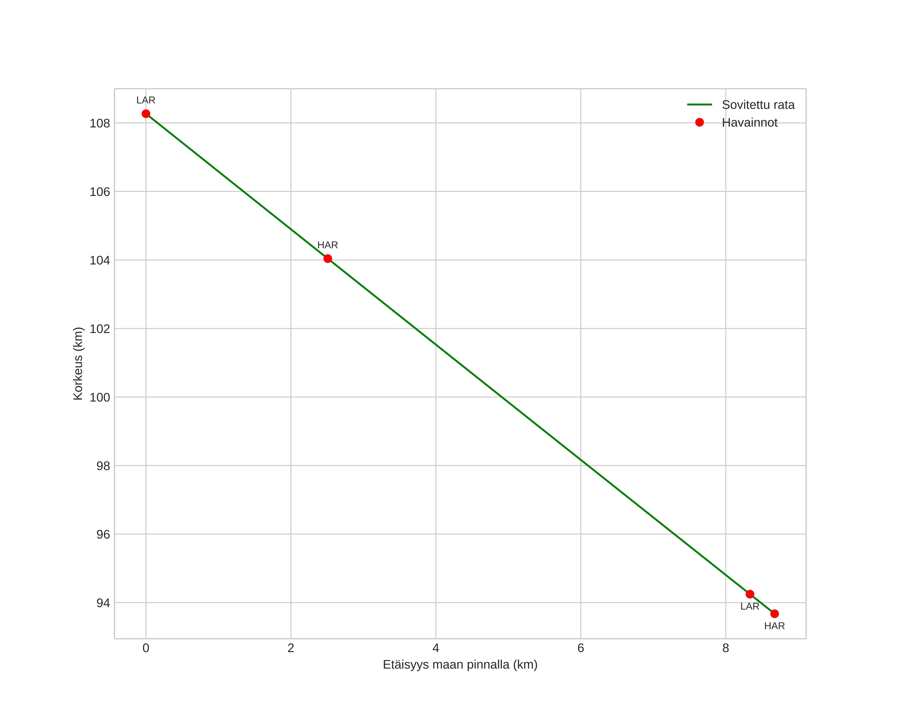
height profile
Meteorin ilmakehärata:
Alkukorkeus: 108,3 km
Loppukorkeus: 93,8 km
Alkupiste: 59,518N 9,023E
Loppupiste: 59,543N 8,879E
Suunta: 289,6°
Kallistuskulma: 59,3°
Tulonopeus: 67,6 km/s
Radiantin R,A,: 02:52 (43,1°)
Radiantin Dekl,: 40,5°
Meteoriparvi: september-epsilon-perseidene
Meteoroidin rataelementit:
Perihelietäisyys: 0,758 AU
Eksentrisyys: 1,162
Inklinaatio: 136,7°
Nousevan solmun pituus: 164,3°
Perihelin argumentti: 237,4°
Keskianomalia: -3,1°
Epookki: 2025 SEP 07 00:35:15
orbit plot

Ei-interaktiivinen kuvaaja | Interaktiivinen kuvaaja

position vs time
speed and acceleration

Harestua (HAR) cam4


gnomonic
Videot:
• Gnomoninen
• Gnomoninen koordinaateilla
• Alkuperäinen
• Alkuperäinen koordinaateilla
Kuvat:
• Gnomoninen
• Gnomoninen koordinaateilla
• Alkuperäinen
• Alkuperäinen koordinaateilla
Tekstitiedostot:
• Havaintoraportti
• Observaatio
• Koordinaatit
• Loki
Kirkkaus

Larvik (LAR) cam6


gnomonic
Videot:
• Gnomoninen
• Gnomoninen koordinaateilla
• Alkuperäinen
• Alkuperäinen koordinaateilla
Kuvat:
• Gnomoninen
• Gnomoninen koordinaateilla
• Alkuperäinen
• Alkuperäinen koordinaateilla
Tekstitiedostot:
• Havaintoraportti
• Observaatio
• Koordinaatit
• Loki
Kirkkaus