🇳🇴 🇬🇧 🇩🇪 🇨🇿 🇫🇮

Meteor, poloha: Charlottenberg 2025-10-06 02:38:59 UTC

Soubor KML  |  Interaktivní mapa

Mapa zobrazuje dráhy meteoru. Světlejší čáry ukazují směry od pozorovacích stanic při objevení se meteoru a tmavší čáry, kde byl naposledy viděn. Modrá šipka značí viditelnou dráhu meteoru.

static map
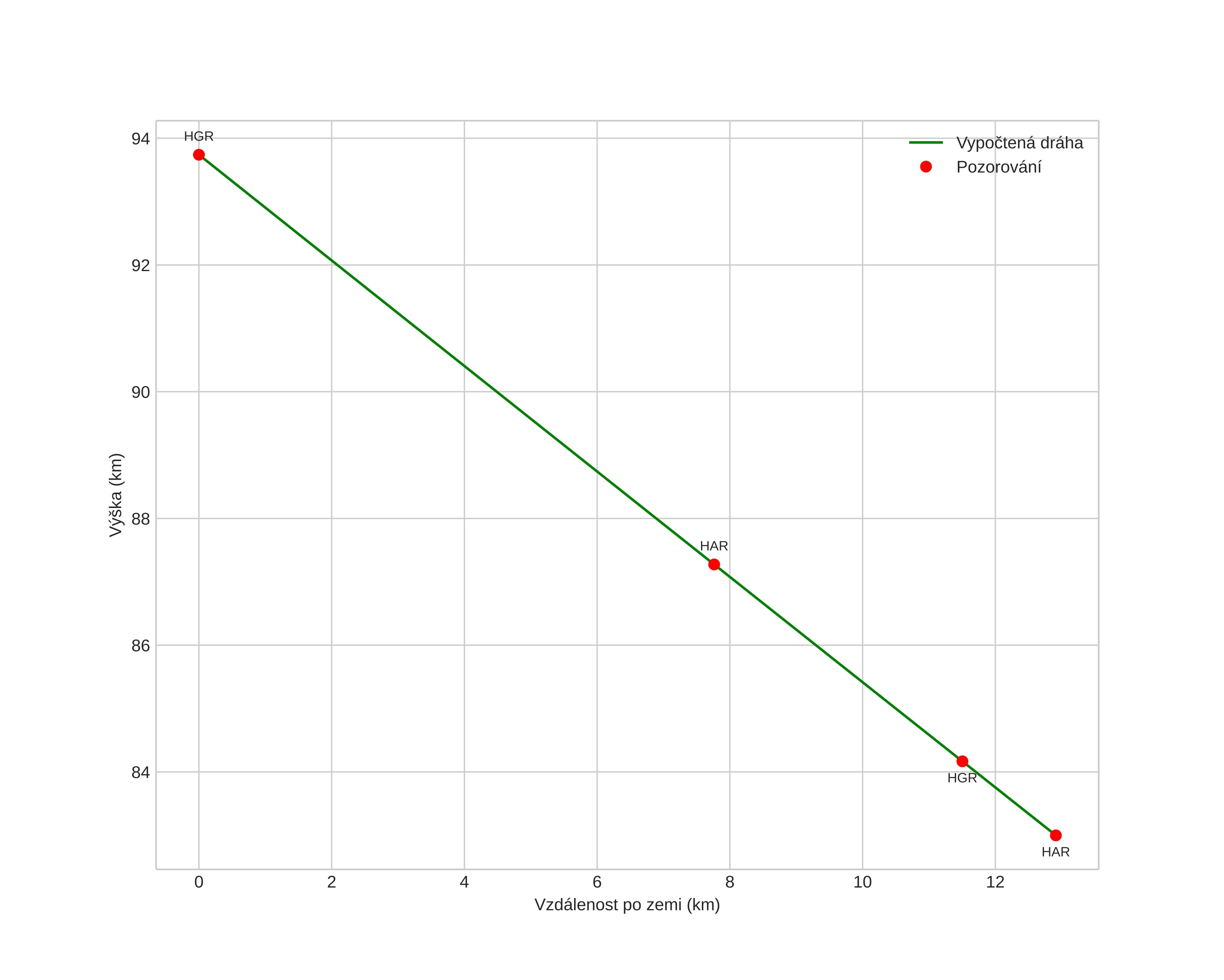
height profile
Atmosférická dráha meteoru:
Počáteční výška: 97,6 km
Konečná výška: 77,8 km
Počáteční poloha: 59,923N 12,356E
Konečná poloha: 60,075N 12,631E
Směr: 42,0°
Sklon: 40,9°
Vstupní rychlost: 32,0 km/s
Rektascenze radiantu: 02:15 (33,9°)
Deklinace radiantu: 14,8°
Meteorický roj: Jižní Tauridy
Elementy dráhy meteoroidu:
Vzdálenost v periheliu: 0,188 AU
Excentricita: 0,857
Sklon dráhy: 2,0°
Délka vzestupného uzlu: 192,7°
Argument perihelia: 319,5°
Střední anomálie: 333,2°
Epocha: 2025 OCT 06 02:38:59
orbit plot

Neinteraktivní graf | Interaktivní graf

position vs time
speed and acceleration