🇳🇴 🇬🇧 🇩🇪 🇨🇿 🇫🇮

Meteor Charlottenbergin yllä 2025-10-06 02:38:59 UTC

KML-tiedosto  |  Interaktiivinen kartta

Kartta näyttää meteorin suuntahavainnot. Vaaleammat viivat näyttävät suunnat havaintoasemilta meteorin ilmestyessä, ja tummemmat viivat näyttävät, missä se viimeksi nähtiin. Sininen nuoli näyttää meteorin näkyvän lennon.

static map
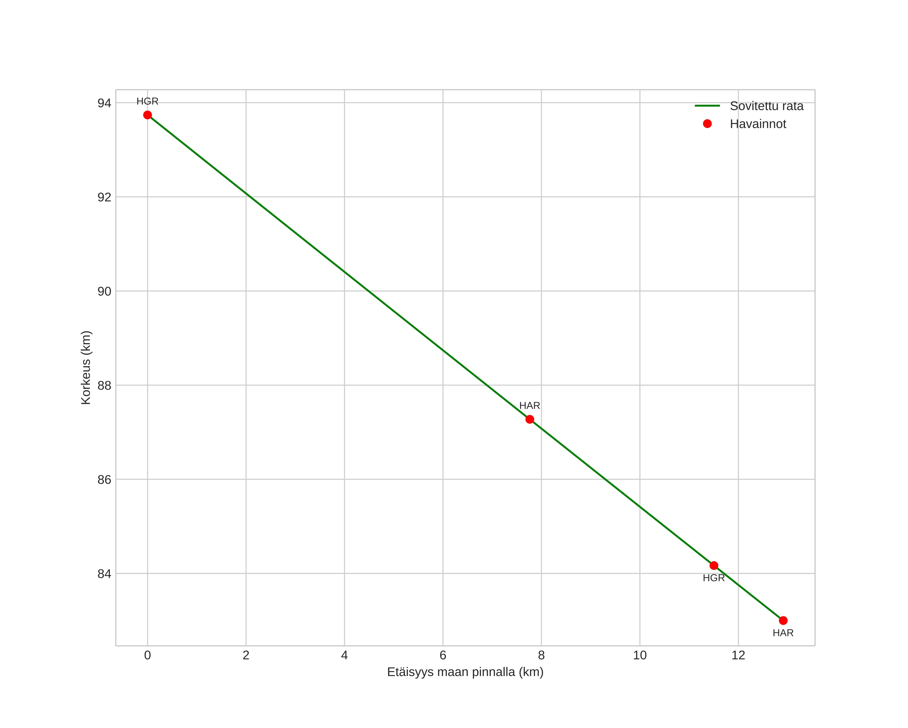
height profile
Meteorin ilmakehärata:
Alkukorkeus: 97,6 km
Loppukorkeus: 77,8 km
Alkupiste: 59,923N 12,356E
Loppupiste: 60,075N 12,631E
Suunta: 42,0°
Kallistuskulma: 40,9°
Tulonopeus: 32,0 km/s
Radiantin R,A,: 02:15 (33,9°)
Radiantin Dekl,: 14,8°
Meteoriparvi: Eteläiset tauridit
Meteoroidin rataelementit:
Perihelietäisyys: 0,188 AU
Eksentrisyys: 0,857
Inklinaatio: 2,0°
Nousevan solmun pituus: 192,7°
Perihelin argumentti: 319,5°
Keskianomalia: 333,2°
Epookki: 2025 OCT 06 02:38:59
orbit plot

Ei-interaktiivinen kuvaaja | Interaktiivinen kuvaaja

position vs time
speed and acceleration

Hagar (HGR) cam4


gnomonic
Videot:
• Gnomoninen
• Gnomoninen koordinaateilla
• Alkuperäinen
• Alkuperäinen koordinaateilla
Kuvat:
• Gnomoninen
• Gnomoninen koordinaateilla
• Alkuperäinen
• Alkuperäinen koordinaateilla
Tekstitiedostot:
• Havaintoraportti
• Observaatio
• Koordinaatit
• Loki
Kirkkaus

Harestua (HAR) cam3


gnomonic
Videot:
• Gnomoninen
• Gnomoninen koordinaateilla
• Alkuperäinen
• Alkuperäinen koordinaateilla
Kuvat:
• Gnomoninen
• Gnomoninen koordinaateilla
• Alkuperäinen
• Alkuperäinen koordinaateilla
Tekstitiedostot:
• Havaintoraportti
• Observaatio
• Koordinaatit
• Loki
Kirkkaus