🇳🇴 🇬🇧 🇩🇪 🇨🇿 🇫🇮

Meteor Hadsundin yllä 2025-10-06 04:23:55 UTC

KML-tiedosto  |  Interaktiivinen kartta

Kartta näyttää meteorin suuntahavainnot. Vaaleammat viivat näyttävät suunnat havaintoasemilta meteorin ilmestyessä, ja tummemmat viivat näyttävät, missä se viimeksi nähtiin. Sininen nuoli näyttää meteorin näkyvän lennon.

static map
height profile
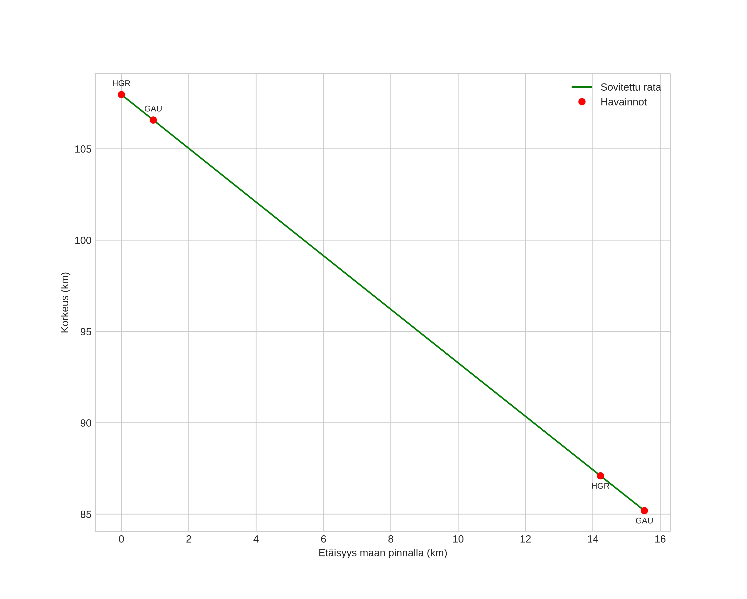
Meteorin ilmakehärata:
Alkukorkeus: 106,7 km
Loppukorkeus: 83,7 km
Alkupiste: 56,678N 10,403E
Loppupiste: 56,733N 10,167E
Suunta: 293,1°
Kallistuskulma: 55,8°
Tulonopeus: 66,1 km/s
Radiantin R,A,: 08:39 (129,9°)
Radiantin Dekl,: 34,6°
Meteoriparvi: Sporadinen
Meteoroidin rataelementit:
Perihelietäisyys: 0,691 AU
Eksentrisyys: 0,863
Inklinaatio: 148,8°
Nousevan solmun pituus: 192,8°
Perihelin argumentti: 109,5°
Keskianomalia: 3,4°
Epookki: 2025 OCT 06 04:23:55
orbit plot

Ei-interaktiivinen kuvaaja | Interaktiivinen kuvaaja

position vs time
speed and acceleration

Gaustatoppen (GAU) cam3


gnomonic
Videot:
• Gnomoninen
• Gnomoninen koordinaateilla
• Alkuperäinen
• Alkuperäinen koordinaateilla
Kuvat:
• Gnomoninen
• Gnomoninen koordinaateilla
• Alkuperäinen
• Alkuperäinen koordinaateilla
Tekstitiedostot:
• Havaintoraportti
• Observaatio
• Koordinaatit
• Loki
Kirkkaus

Hagar (HGR) cam4


gnomonic
Videot:
• Gnomoninen
• Gnomoninen koordinaateilla
• Alkuperäinen
• Alkuperäinen koordinaateilla
Kuvat:
• Gnomoninen
• Gnomoninen koordinaateilla
• Alkuperäinen
• Alkuperäinen koordinaateilla
Tekstitiedostot:
• Havaintoraportti
• Observaatio
• Koordinaatit
• Loki
Kirkkaus