🇳🇴 🇬🇧 🇩🇪 🇨🇿 🇫🇮

Meteor over Hadsund 2025-10-06 04:23:55 UTC

KML-fil  |  Interaktivt kart

Kartet viser peilingene for meteoren. De lysere linjene viser retningene fra observasjonsstedene for meteorens tilsynekomst, og de mørkere linjene viser hvor den sist kunne sees. Den blå pila viser meteorens synlige ferd.

static map
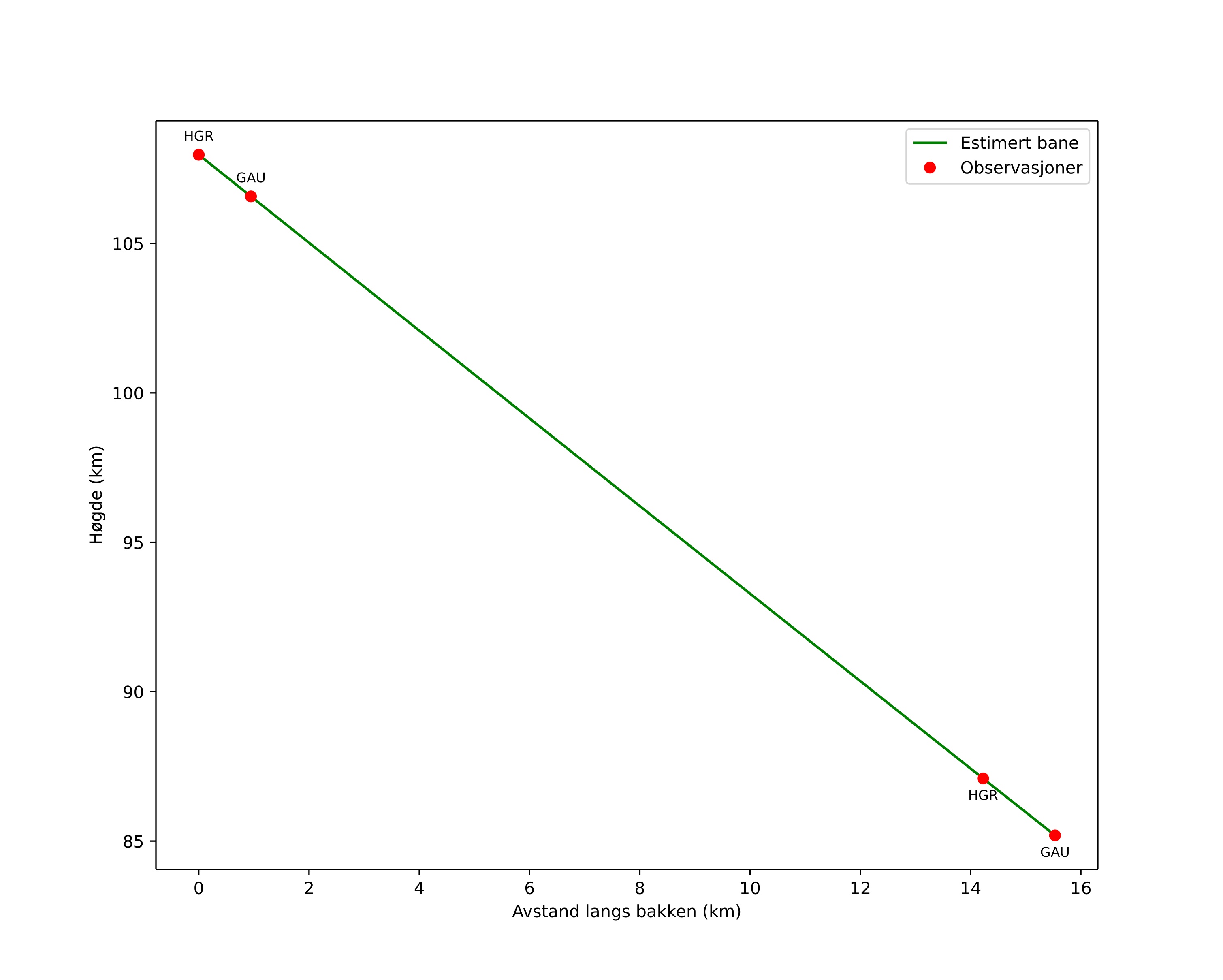
height profile
Meteorens atmosfæriske bane:
Starthøgde: 106,7 km
Slutthøgde: 83,7 km
Startposisjon: 56,678N 10,403E
Sluttposisjon: 56,733N 10,167E
Retning: 293,1°
Fallvinkel: 55,8°
Inngangshastighet: 66,1 km/s
Radiantens rektascensjon: 08:39 (129,9°)
Radiantens deklinasjon: 34,6°
Meteorsverm: sporadisk
Meteoroidens baneelement:
Perihelavstand: 0,691 AU
Eksentrisitet: 0,863
Inklinasjon: 148,8°
Knutelengde: 192,8°
Perihelargument: 109,5°
Midlere anomali: 3,4°
Epoke: 2025 OCT 06 04:23:55
orbit plot

Ikke-interaktivt plott | Interaktivt plott

position vs time
speed and acceleration

Gaustatoppen (GAU) cam3


gnomonic
Videoer
• Gnomonisk
• Gnomonisk med koordinater
• Original
• Original med koordinater
Bilder
• Gnomonisk
• Gnomonisk med koordinater
• Original
• Original med koordinater
Tekstfiler
• Deteksjon
• Observasjon
• Koordinater
• Logg
Lysstyrke

Hagar (HGR) cam4


gnomonic
Videoer
• Gnomonisk
• Gnomonisk med koordinater
• Original
• Original med koordinater
Bilder
• Gnomonisk
• Gnomonisk med koordinater
• Original
• Original med koordinater
Tekstfiler
• Deteksjon
• Observasjon
• Koordinater
• Logg
Lysstyrke