🇳🇴 🇬🇧 🇩🇪 🇨🇿

Meteor, poloha: FlĂĄ 2025-10-07 20:56:06 UTC

Mapa zobrazuje dráhy meteoru. Světlejší čáry ukazují směry od pozorovacích stanic při objevení se meteoru a tmavší čáry, kde byl naposledy viděn. Modrá šipka značí viditelnou dráhu meteoru.

map

NeinteraktivnĂ­ mapa | Soubor KML

height profile
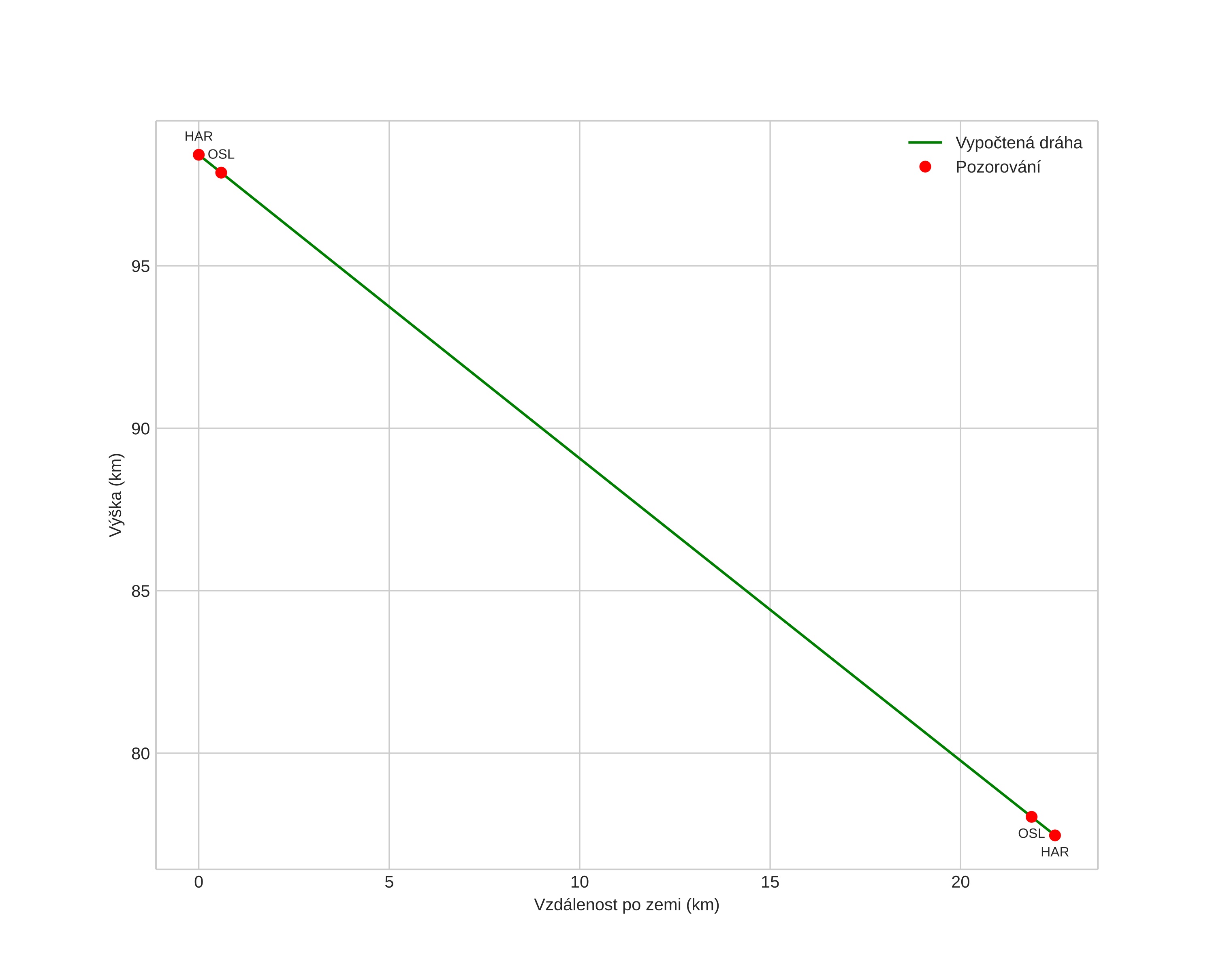
Atmosférická dráha meteoru:
Počáteční výška: 102,6 km
Konečná výška: 78,4 km
Počáteční poloha: 60,549N 9,166E
Konečná poloha: 60,339N 9,351E
Směr: 156,5°
Sklon: 43,6°
VstupnĂ­ rychlost: 47,2 km/s
Rektascenze radiantu: 13:58 (209,7°)
Deklinace radiantu: 67,3°
MeteorickĂ˝ roj: sporadickĂ˝
Elementy dráhy meteoroidu:
Vzdálenost v periheliu: 0,944 AU
Excentricita: 1,507
Sklon dráhy: 67,7°
Délka vzestupného uzlu: 194,5°
Argument perihelia: 155,2°
Střední anomálie: 5,9°
Epocha: 2025 OCT 07 20:56:06
orbit plot

NeinteraktivnĂ­ graf

position vs time
speed and acceleration

Harestua (HAR) cam5


gnomonic
Videa
• Gnomonická
• Gnomonická se souřadnicemi
• Původní
• Původní se souřadnicemi
Obrázky
• Gnomonická
• Gnomonická se souřadnicemi
• Původní
• Původní se souřadnicemi
Textové soubory
• Detekce
• Pozorování
• Souřadnice
• Protokol
Jasnost

Voksenlia (OSL) cam7


gnomonic
Videa
• Gnomonická
• Gnomonická se souřadnicemi
• Původní
• Původní se souřadnicemi
Obrázky
• Gnomonická
• Gnomonická se souřadnicemi
• Původní
• Původní se souřadnicemi
Textové soubory
• Detekce
• Pozorování
• Souřadnice
• Protokol
Jasnost