🇳🇴 🇬🇧 🇩🇪 🇨🇿

Meteor over Flå 2025-10-07 20:56:06 UTC

Kartet viser peilingene for meteoren. De lysere linjene viser retningene fra observasjonsstedene for meteorens tilsynekomst, og de mørkere linjene viser hvor den sist kunne sees. Den blå pila viser meteorens synlige ferd.

map

Ikke-interaktivt kart | KML-fil

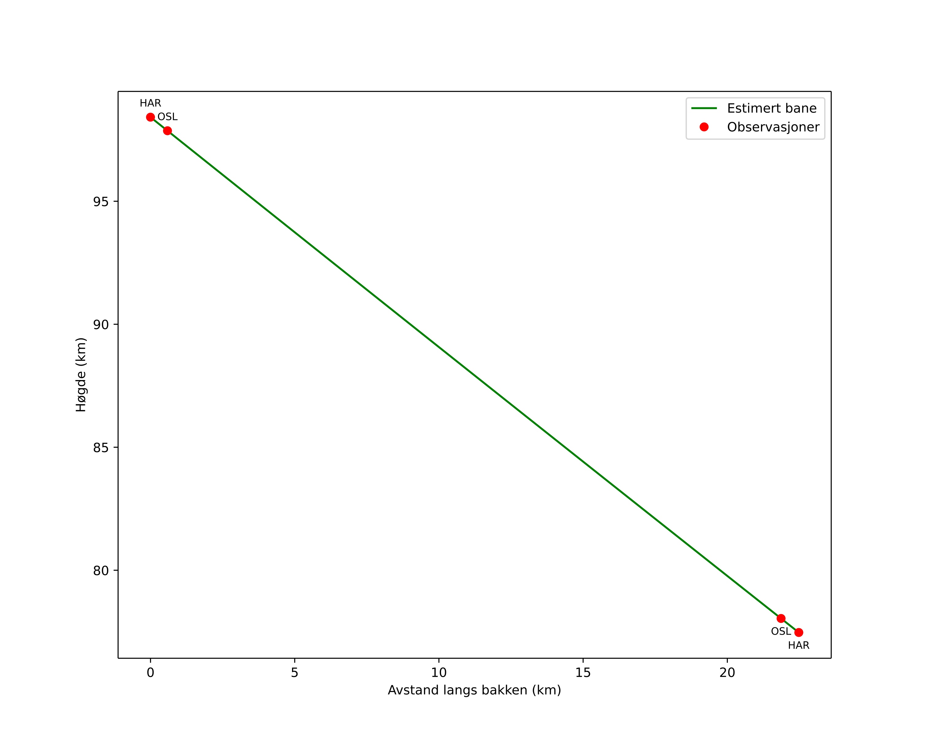
height profile
Meteorens atmosfæriske bane:
Starthøgde: 98,4 km
Slutthøgde: 77,5 km
Startposisjon: 60,529N 9,228E
Sluttposisjon: 60,340N 9,372E
Retning: 159,4°
Fallvinkel: 42,9°
Inngangshastighet: 43,2 km/s
Radiantens rektascensjon: 13:35 (204,0°)
Radiantens deklinasjon: 67,7°
Meteorsverm: sporadisk
Meteoroidens baneelement:
Perihelavstand: 0,935 AU
Eksentrisitet: 1,094
Inklinasjon: 66,0°
Knutelengde: 194,5°
Perihelargument: 151,2°
Midlere anomali: 0,6°
Epoke: 2025 OCT 07 20:56:06
orbit plot

Ikke-interaktivt plott

position vs time
speed and acceleration

Harestua (HAR) cam5


gnomonic
Videoer
• Gnomonisk
• Gnomonisk med koordinater
• Original
• Original (HEVC)
• Original med koordinater
Bilder
• Gnomonisk
• Gnomonisk med koordinater
• Original
• Original med koordinater
Tekstfiler
• Deteksjon
• Observasjon
• Koordinater
• Logg
Lysstyrke

Voksenlia (OSL) cam7


gnomonic
Videoer
• Gnomonisk
• Gnomonisk med koordinater
• Original
• Original (HEVC)
• Original med koordinater
Bilder
• Gnomonisk
• Gnomonisk med koordinater
• Original
• Original med koordinater
Tekstfiler
• Deteksjon
• Observasjon
• Koordinater
• Logg
Lysstyrke