🇳🇴 🇬🇧 🇩🇪 🇨🇿

Meteor über Flå 2025-10-07 20:56:06 UTC

Die Karte zeigt die Peilungen für den Meteor. Die helleren Linien zeigen die Richtungen von den Beobachtungsorten beim Erscheinen des Meteors, und die dunkleren Linien, wo er zuletzt gesehen wurde. Der blaue Pfeil zeigt die sichtbare Bahn des Meteors.

map

Nicht-interaktive Karte | KML-Datei

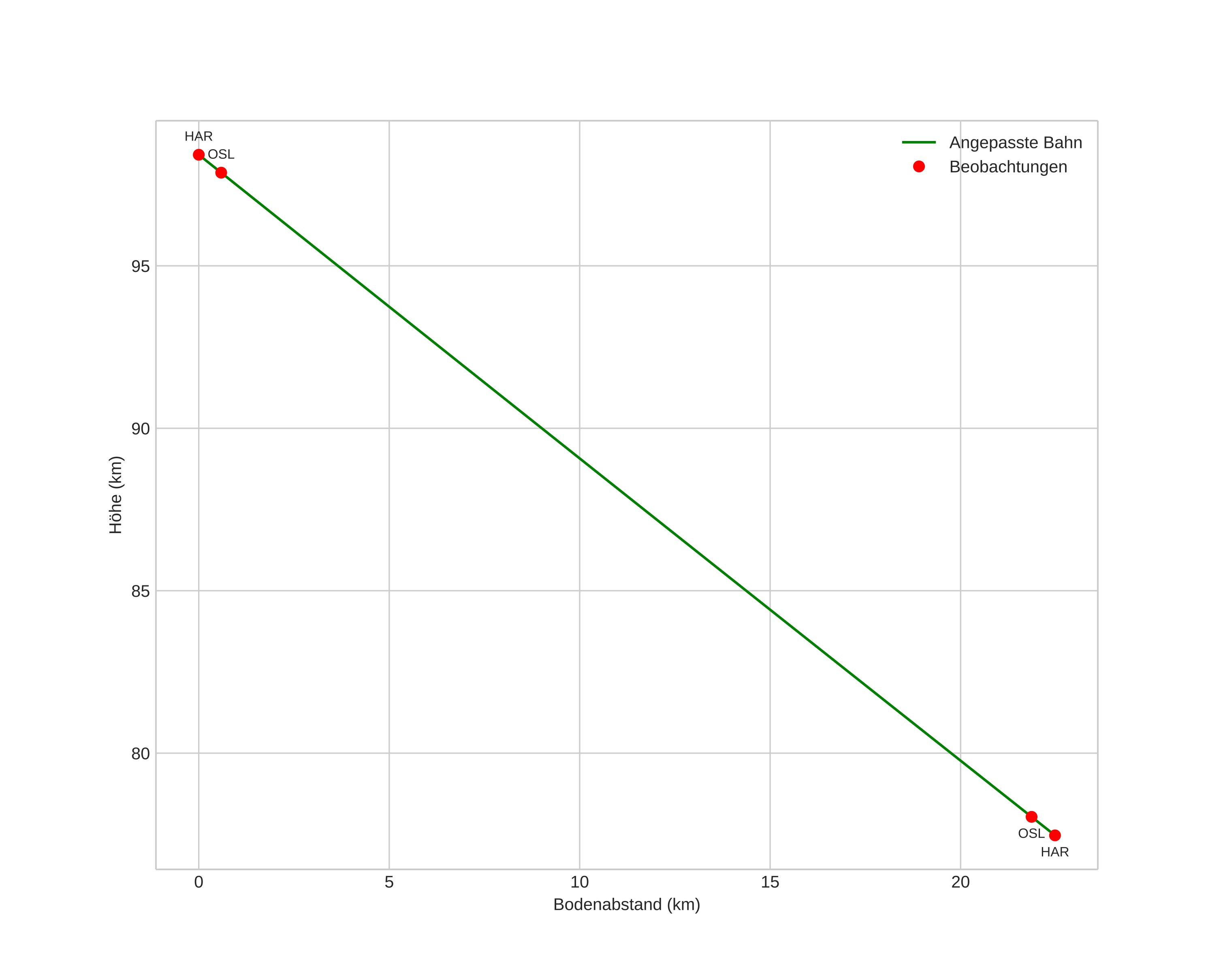
height profile
Atmosphärische Bahn des Meteors:
Anfangshöhe: 98,4 km
Endhöhe: 77,5 km
Startposition: 60,529N 9,228E
Endposition: 60,340N 9,372E
Richtung: 159,4°
Neigungswinkel: 42,9°
Eintrittsgeschwindigkeit: 43,2 km/s
Rektaszension des Radianten: 13:35 (204,0°)
Deklination des Radianten: 67,7°
Meteorstrom: sporadisch
Bahnelemente des Meteoroiden:
Periheldistanz: 0,935 AU
Exzentrizität: 1,094
Inklination: 66,0°
Länge des aufsteigenden Knotens: 194,5°
Argument des Perihels: 151,2°
Mittlere Anomalie: 0,6°
Epoche: 2025 OCT 07 20:56:06
orbit plot

Nicht-interaktives Diagramm

position vs time
speed and acceleration

Harestua (HAR) cam5


gnomonic
Videos
• Gnomonisch
• Gnomonisch mit Koordinaten
• Original
• Original (HEVC)
• Original mit Koordinaten
Bilder
• Gnomonisch
• Gnomonisch mit Koordinaten
• Original
• Original mit Koordinaten
Textdateien
• Erkennung
• Beobachtung
• Koordinaten
• Protokoll
Helligkeit

Voksenlia (OSL) cam7


gnomonic
Videos
• Gnomonisch
• Gnomonisch mit Koordinaten
• Original
• Original (HEVC)
• Original mit Koordinaten
Bilder
• Gnomonisch
• Gnomonisch mit Koordinaten
• Original
• Original mit Koordinaten
Textdateien
• Erkennung
• Beobachtung
• Koordinaten
• Protokoll
Helligkeit