🇳🇴 🇬🇧 🇩🇪 🇨🇿 🇫🇮

Meteor, poloha: VĂĄler 2025-10-08 03:06:24 UTC

Soubor KML  |  InteraktivnĂ­ mapa

Mapa zobrazuje dráhy meteoru. Světlejší čáry ukazují směry od pozorovacích stanic při objevení se meteoru a tmavší čáry, kde byl naposledy viděn. Modrá šipka značí viditelnou dráhu meteoru.

static map
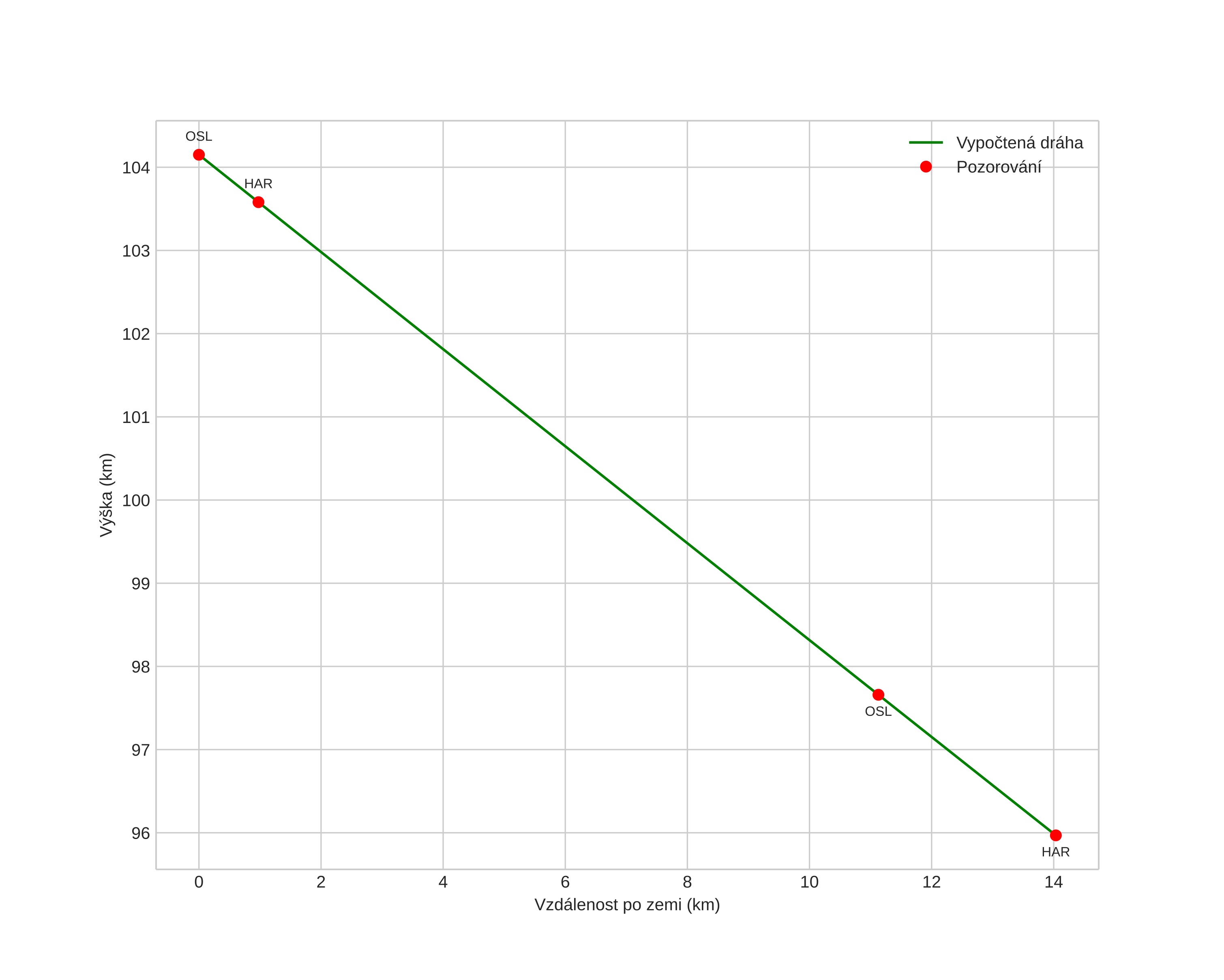
height profile
Atmosférická dráha meteoru:
Počáteční výška: 108,0 km
Konečná výška: 98,5 km
Počáteční poloha: 60,770N 11,970E
Konečná poloha: 60,845N 11,779E
Směr: 308,6°
Sklon: 35,6°
VstupnĂ­ rychlost: 73,0 km/s
Rektascenze radiantu: 07:44 (116,2°)
Deklinace radiantu: 14,8°
MeteorickĂ˝ roj: sporadickĂ˝
Elementy dráhy meteoroidu:
Vzdálenost v periheliu: 0,916 AU
Excentricita: 1,097
Sklon dráhy: 168,9°
Délka vzestupného uzlu: 14,7°
Argument perihelia: 327,2°
Střední anomálie: 0,7°
Epocha: 2025 OCT 08 03:06:24
orbit plot

NeinteraktivnĂ­ graf | InteraktivnĂ­ graf

position vs time
speed and acceleration

Harestua (HAR) cam6


gnomonic
Videa
• Gnomonická
• Gnomonická se souřadnicemi
• Původní
• Původní se souřadnicemi
Obrázky
• Gnomonická
• Gnomonická se souřadnicemi
• Původní
• Původní se souřadnicemi
Textové soubory
• Detekce
• Pozorování
• Souřadnice
• Protokol
Jasnost

Voksenlia (OSL) cam5


gnomonic
Videa
• Gnomonická
• Gnomonická se souřadnicemi
• Původní
• Původní se souřadnicemi
Obrázky
• Gnomonická
• Gnomonická se souřadnicemi
• Původní
• Původní se souřadnicemi
Textové soubory
• Detekce
• Pozorování
• Souřadnice
• Protokol
Jasnost