🇳🇴 🇬🇧 🇩🇪 🇨🇿 🇫🇮

Meteor over VÃ¥ler 2025-10-08 03:06:24 UTC

KML-fil  |  Interaktivt kart

Kartet viser peilingene for meteoren. De lysere linjene viser retningene fra observasjonsstedene for meteorens tilsynekomst, og de mørkere linjene viser hvor den sist kunne sees. Den blå pila viser meteorens synlige ferd.

static map
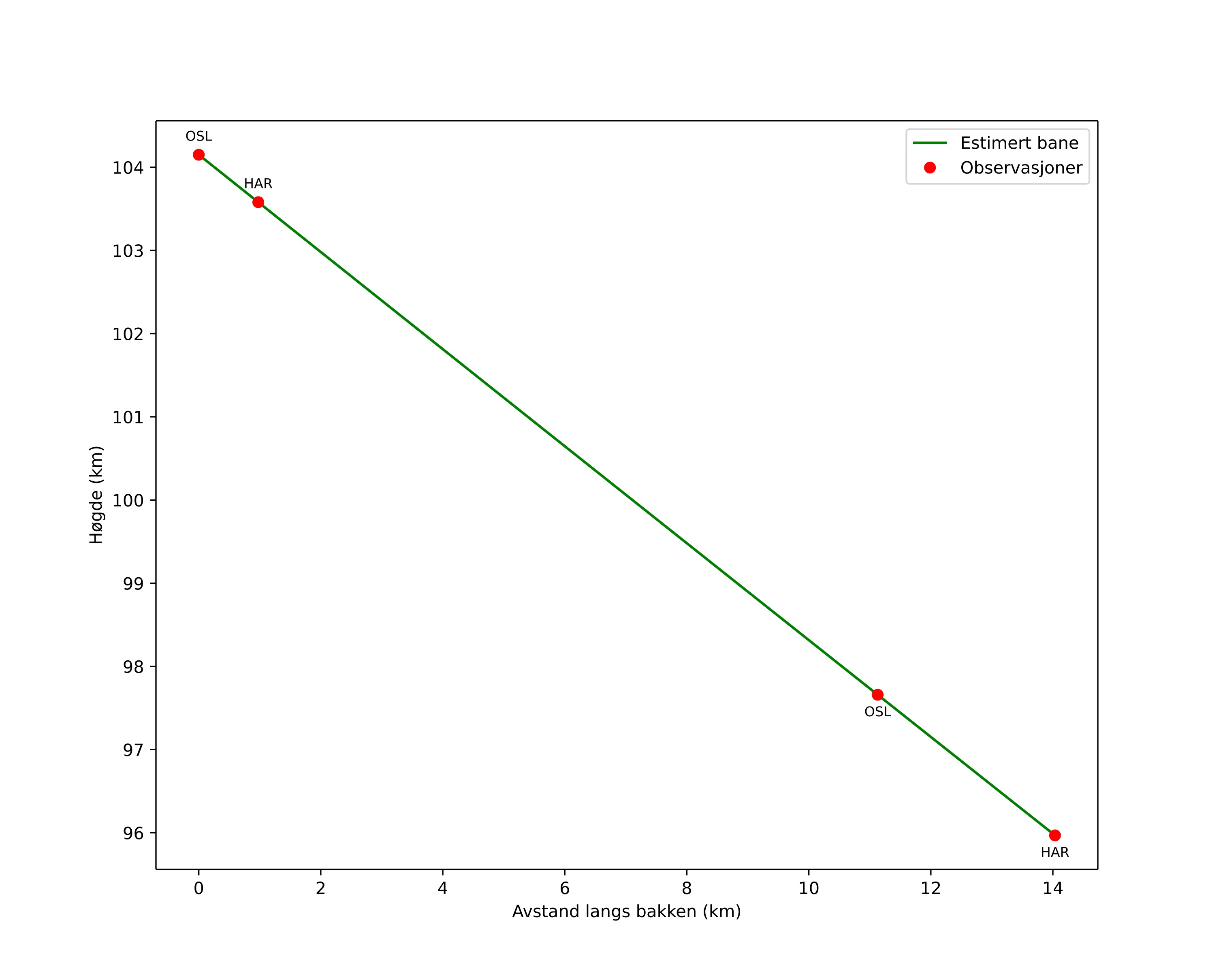
height profile
Meteorens atmosfæriske bane:
Starthøgde: 108,0 km
Slutthøgde: 98,5 km
Startposisjon: 60,770N 11,970E
Sluttposisjon: 60,845N 11,779E
Retning: 308,6°
Fallvinkel: 35,6°
Inngangshastighet: 73,0 km/s
Radiantens rektascensjon: 07:44 (116,2°)
Radiantens deklinasjon: 14,8°
Meteorsverm: sporadisk
Meteoroidens baneelement:
Perihelavstand: 0,916 AU
Eksentrisitet: 1,097
Inklinasjon: 168,9°
Knutelengde: 14,7°
Perihelargument: 327,2°
Midlere anomali: 0,7°
Epoke: 2025 OCT 08 03:06:24
orbit plot

Ikke-interaktivt plott | Interaktivt plott

position vs time
speed and acceleration

Harestua (HAR) cam6


gnomonic
Videoer
• Gnomonisk
• Gnomonisk med koordinater
• Original
• Original med koordinater
Bilder
• Gnomonisk
• Gnomonisk med koordinater
• Original
• Original med koordinater
Tekstfiler
• Deteksjon
• Observasjon
• Koordinater
• Logg
Lysstyrke

Voksenlia (OSL) cam5


gnomonic
Videoer
• Gnomonisk
• Gnomonisk med koordinater
• Original
• Original med koordinater
Bilder
• Gnomonisk
• Gnomonisk med koordinater
• Original
• Original med koordinater
Tekstfiler
• Deteksjon
• Observasjon
• Koordinater
• Logg
Lysstyrke