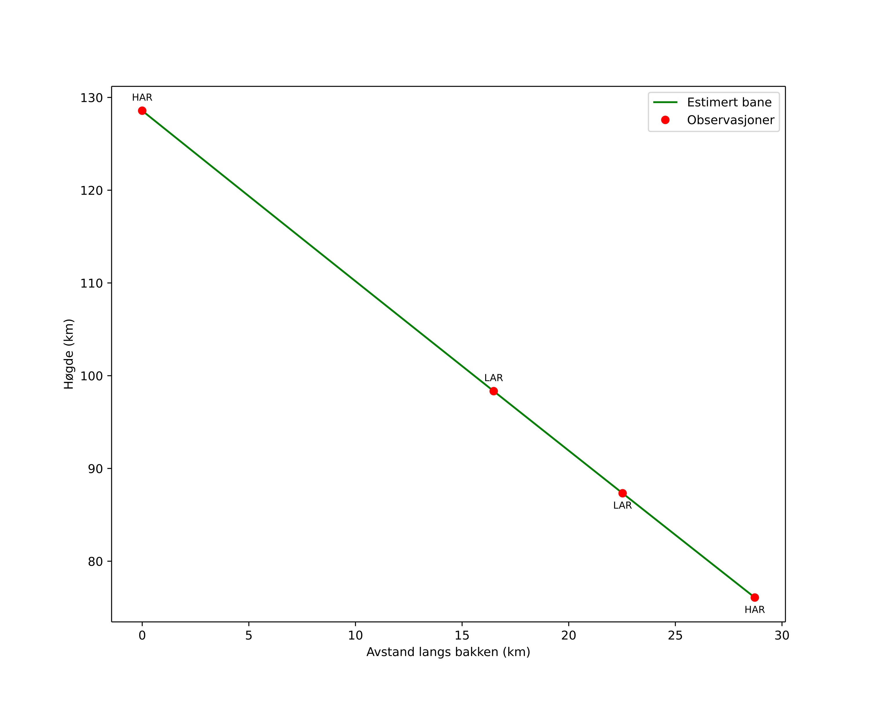
Atmosférická dráha meteoru:
| Počátečnà výška: | 121,7 km |
| Konečná výška: | 86,1 km |
| Počátečnà poloha: | 60,594N 9,955E |
| Konečná poloha: | 60,661N 9,627E |
| Směr: | 292,8° |
| Sklon: | 61,4° |
| VstupnĂ rychlost: | 68,5 km/s |
| Rektascenze radiantu: | 05:31 (82,8°) |
| Deklinace radiantu: | 42,1° |
| MeteorickĂ˝ roj: | Delta Aurigidy |
|
Elementy dráhy meteoroidu:
| Vzdálenost v periheliu: | 0,684 AU |
| Excentricita: | 1,151 |
| Sklon dráhy: | 143,0° |
| Délka vzestupného uzlu: | 197,6° |
| Argument perihelia: | 245,7° |
| Střednà anomálie: | -3,5° |
| Epocha: | 2025 OCT 11 01:07:49 |
|