🇳🇴 🇬🇧 🇩🇪 🇨🇿 🇫🇮

Meteor Bagnin yllä 2025-10-11 01:07:49 UTC

KML-tiedosto  |  Interaktiivinen kartta

Kartta näyttää meteorin suuntahavainnot. Vaaleammat viivat näyttävät suunnat havaintoasemilta meteorin ilmestyessä, ja tummemmat viivat näyttävät, missä se viimeksi nähtiin. Sininen nuoli näyttää meteorin näkyvän lennon.

static map
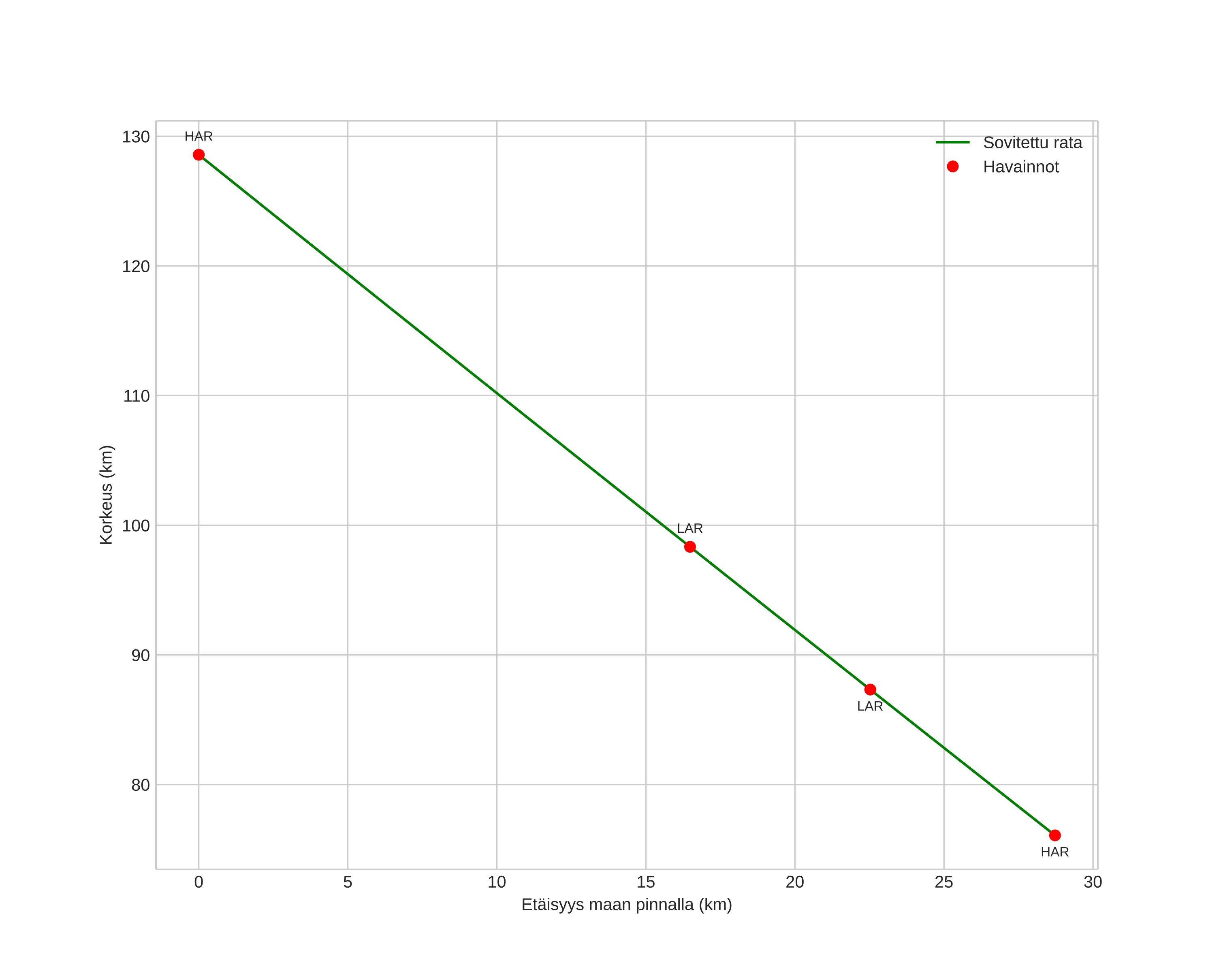
height profile
Meteorin ilmakehärata:
Alkukorkeus: 121,7 km
Loppukorkeus: 86,1 km
Alkupiste: 60,594N 9,955E
Loppupiste: 60,661N 9,627E
Suunta: 292,8°
Kallistuskulma: 61,4°
Tulonopeus: 68,5 km/s
Radiantin R,A,: 05:31 (82,8°)
Radiantin Dekl,: 42,1°
Meteoriparvi: Delta-aurigidit
Meteoroidin rataelementit:
Perihelietäisyys: 0,684 AU
Eksentrisyys: 1,151
Inklinaatio: 143,0°
Nousevan solmun pituus: 197,6°
Perihelin argumentti: 245,7°
Keskianomalia: -3,5°
Epookki: 2025 OCT 11 01:07:49
orbit plot

Ei-interaktiivinen kuvaaja | Interaktiivinen kuvaaja

position vs time
speed and acceleration

Harestua (HAR) cam6


gnomonic
Videot:
• Gnomoninen
• Gnomoninen koordinaateilla
• Alkuperäinen
• Alkuperäinen koordinaateilla
Kuvat:
• Gnomoninen
• Gnomoninen koordinaateilla
• Alkuperäinen
• Alkuperäinen koordinaateilla
Tekstitiedostot:
• Havaintoraportti
• Observaatio
• Koordinaatit
• Loki
Kirkkaus

Larvik (LAR) cam1


gnomonic
Videot:
• Gnomoninen
• Gnomoninen koordinaateilla
• Alkuperäinen
• Alkuperäinen koordinaateilla
Kuvat:
• Gnomoninen
• Gnomoninen koordinaateilla
• Alkuperäinen
• Alkuperäinen koordinaateilla
Tekstitiedostot:
• Havaintoraportti
• Observaatio
• Koordinaatit
• Loki
Kirkkaus