🇳🇴 🇬🇧 🇩🇪 🇨🇿 🇫🇮

Meteor, poloha: Bagn 2025-10-11 01:07:49 UTC

Soubor KML  |  InteraktivnĂ­ mapa

Mapa zobrazuje dráhy meteoru. Světlejší čáry ukazují směry od pozorovacích stanic při objevení se meteoru a tmavší čáry, kde byl naposledy viděn. Modrá šipka značí viditelnou dráhu meteoru.

static map
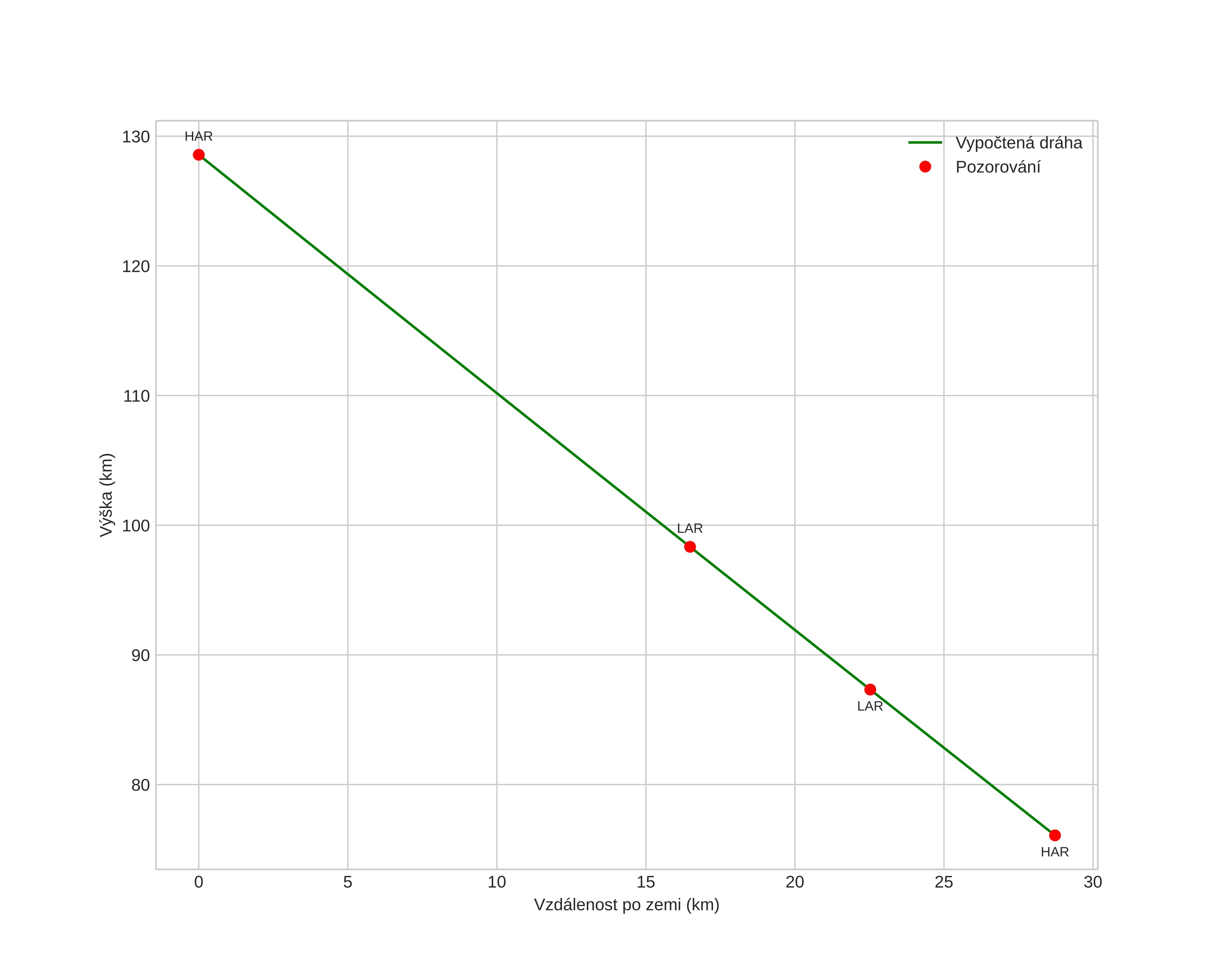
height profile
Atmosférická dráha meteoru:
Počáteční výška: 121,7 km
Konečná výška: 86,1 km
Počáteční poloha: 60,594N 9,955E
Konečná poloha: 60,661N 9,627E
Směr: 292,8°
Sklon: 61,4°
VstupnĂ­ rychlost: 68,5 km/s
Rektascenze radiantu: 05:31 (82,8°)
Deklinace radiantu: 42,1°
MeteorickĂ˝ roj: Delta Aurigidy
Elementy dráhy meteoroidu:
Vzdálenost v periheliu: 0,684 AU
Excentricita: 1,151
Sklon dráhy: 143,0°
Délka vzestupného uzlu: 197,6°
Argument perihelia: 245,7°
Střední anomálie: -3,5°
Epocha: 2025 OCT 11 01:07:49
orbit plot

NeinteraktivnĂ­ graf | InteraktivnĂ­ graf

position vs time
speed and acceleration

Harestua (HAR) cam6


gnomonic
Videa
• Gnomonická
• Gnomonická se souřadnicemi
• Původní
• Původní se souřadnicemi
Obrázky
• Gnomonická
• Gnomonická se souřadnicemi
• Původní
• Původní se souřadnicemi
Textové soubory
• Detekce
• Pozorování
• Souřadnice
• Protokol
Jasnost

Larvik (LAR) cam1


gnomonic
Videa
• Gnomonická
• Gnomonická se souřadnicemi
• Původní
• Původní se souřadnicemi
Obrázky
• Gnomonická
• Gnomonická se souřadnicemi
• Původní
• Původní se souřadnicemi
Textové soubory
• Detekce
• Pozorování
• Souřadnice
• Protokol
Jasnost