🇳🇴 🇬🇧 🇩🇪 🇨🇿 🇫🇮

Meteor, poloha: Dovre 2025-10-15 22:22:17 UTC

Soubor KML  |  InteraktivnĂ­ mapa

Mapa zobrazuje dráhy meteoru. Světlejší čáry ukazují směry od pozorovacích stanic při objevení se meteoru a tmavší čáry, kde byl naposledy viděn. Modrá šipka značí viditelnou dráhu meteoru.

static map
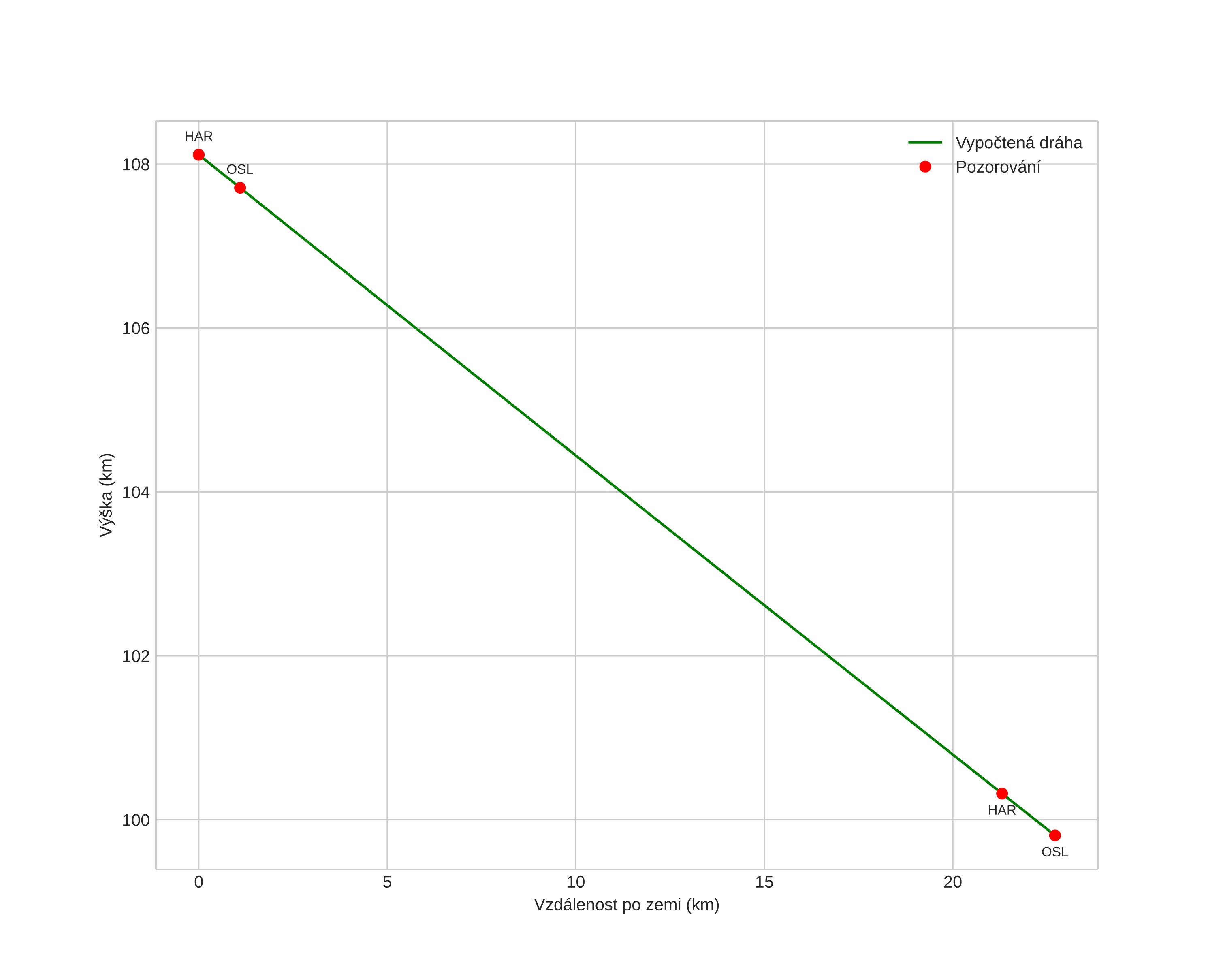
height profile
Atmosférická dráha meteoru:
Počáteční výška: 112,2 km
Konečná výška: 101,9 km
Počáteční poloha: 62,151N 10,010E
Konečná poloha: 62,072N 9,529E
Směr: 250,9°
Sklon: 21,2°
VstupnĂ­ rychlost: 66,5 km/s
Rektascenze radiantu: 07:06 (106,6°)
Deklinace radiantu: 27,2°
MeteorickĂ˝ roj: epsilon-geminidene
Elementy dráhy meteoroidu:
Vzdálenost v periheliu: 0,903 AU
Excentricita: 0,527
Sklon dráhy: 171,4°
Délka vzestupného uzlu: 202,5°
Argument perihelia: 223,4°
Střední anomálie: 347,8°
Epocha: 2025 OCT 15 22:22:17
orbit plot

NeinteraktivnĂ­ graf | InteraktivnĂ­ graf

position vs time
speed and acceleration

Harestua (HAR) cam1


gnomonic
Videa
• Gnomonická
• Gnomonická se souřadnicemi
• Původní
• Původní se souřadnicemi
Obrázky
• Gnomonická
• Gnomonická se souřadnicemi
• Původní
• Původní se souřadnicemi
Textové soubory
• Detekce
• Pozorování
• Protokol
Jasnost

Voksenlia (OSL) cam1


gnomonic
Videa
• Gnomonická
• Gnomonická se souřadnicemi
• Původní
• Původní se souřadnicemi
Obrázky
• Gnomonická
• Gnomonická se souřadnicemi
• Původní
• Původní se souřadnicemi
Textové soubory
• Detekce
• Pozorování
• Souřadnice
• Protokol
Jasnost