🇳🇴 🇬🇧 🇩🇪 🇨🇿 🇫🇮

Meteor Dovren yllä 2025-10-15 22:22:17 UTC

KML-tiedosto  |  Interaktiivinen kartta

Kartta näyttää meteorin suuntahavainnot. Vaaleammat viivat näyttävät suunnat havaintoasemilta meteorin ilmestyessä, ja tummemmat viivat näyttävät, missä se viimeksi nähtiin. Sininen nuoli näyttää meteorin näkyvän lennon.

static map
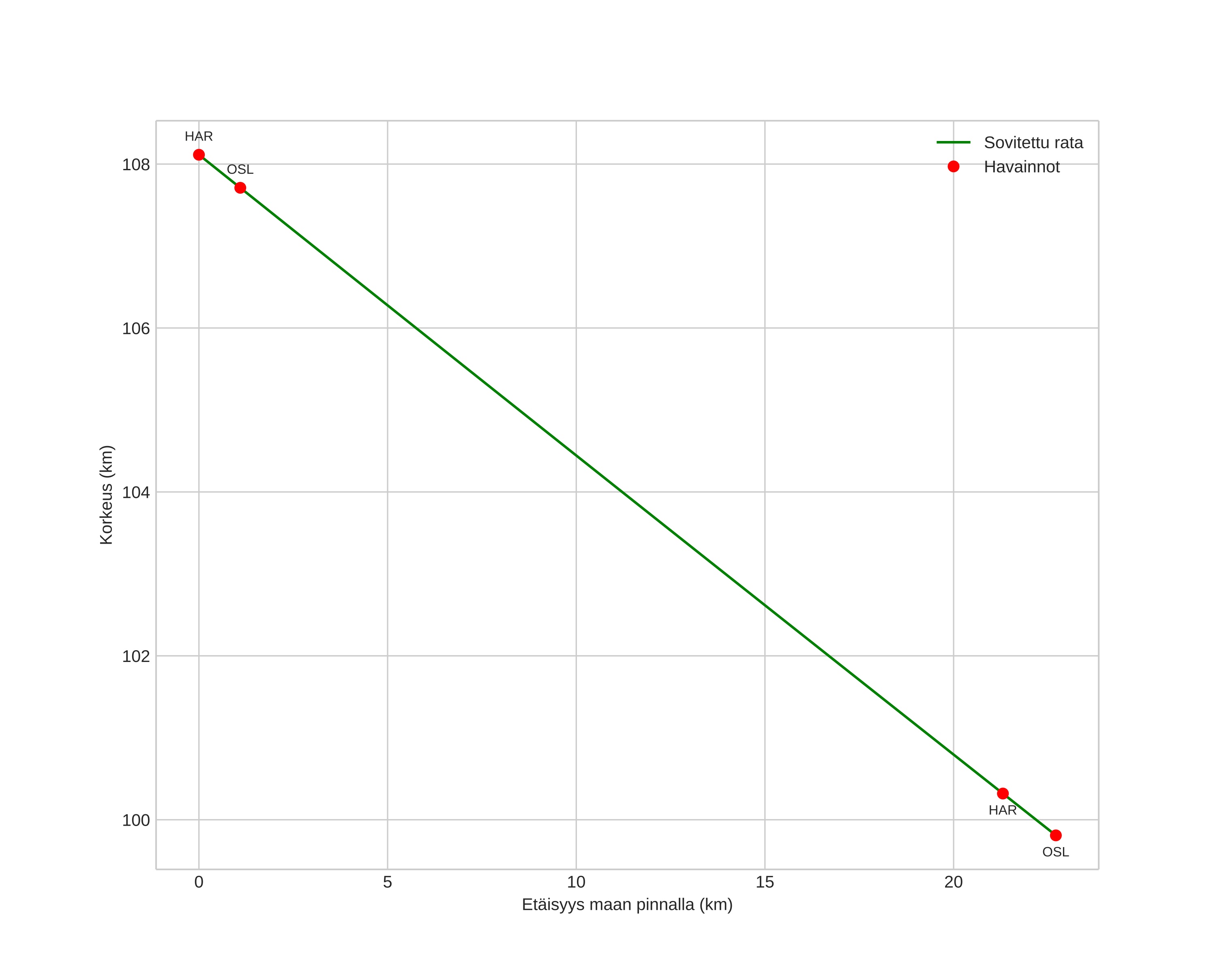
height profile
Meteorin ilmakehärata:
Alkukorkeus: 112,2 km
Loppukorkeus: 101,9 km
Alkupiste: 62,151N 10,010E
Loppupiste: 62,072N 9,529E
Suunta: 250,9°
Kallistuskulma: 21,2°
Tulonopeus: 66,5 km/s
Radiantin R,A,: 07:06 (106,6°)
Radiantin Dekl,: 27,2°
Meteoriparvi: epsilon-geminidene
Meteoroidin rataelementit:
Perihelietäisyys: 0,903 AU
Eksentrisyys: 0,527
Inklinaatio: 171,4°
Nousevan solmun pituus: 202,5°
Perihelin argumentti: 223,4°
Keskianomalia: 347,8°
Epookki: 2025 OCT 15 22:22:17
orbit plot

Ei-interaktiivinen kuvaaja | Interaktiivinen kuvaaja

position vs time
speed and acceleration

Harestua (HAR) cam1


gnomonic
Videot:
• Gnomoninen
• Gnomoninen koordinaateilla
• Alkuperäinen
• Alkuperäinen koordinaateilla
Kuvat:
• Gnomoninen
• Gnomoninen koordinaateilla
• Alkuperäinen
• Alkuperäinen koordinaateilla
Tekstitiedostot:
• Havaintoraportti
• Observaatio
• Loki
Kirkkaus

Voksenlia (OSL) cam1


gnomonic
Videot:
• Gnomoninen
• Gnomoninen koordinaateilla
• Alkuperäinen
• Alkuperäinen koordinaateilla
Kuvat:
• Gnomoninen
• Gnomoninen koordinaateilla
• Alkuperäinen
• Alkuperäinen koordinaateilla
Tekstitiedostot:
• Havaintoraportti
• Observaatio
• Koordinaatit
• Loki
Kirkkaus