🇳🇴 🇬🇧 🇩🇪 🇨🇿 🇫🇮

Meteor over Dovre 2025-10-15 22:22:17 UTC

KML-fil  |  Interaktivt kart

Kartet viser peilingene for meteoren. De lysere linjene viser retningene fra observasjonsstedene for meteorens tilsynekomst, og de mørkere linjene viser hvor den sist kunne sees. Den blå pila viser meteorens synlige ferd.

static map
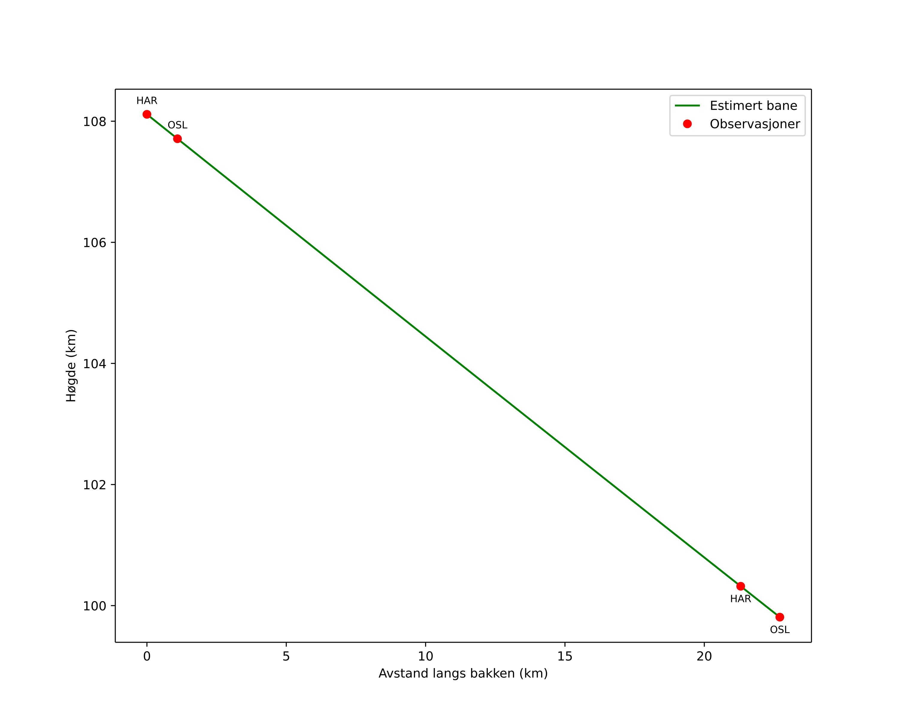
height profile
Meteorens atmosfæriske bane:
Starthøgde: 112,2 km
Slutthøgde: 101,9 km
Startposisjon: 62,151N 10,010E
Sluttposisjon: 62,072N 9,529E
Retning: 250,9°
Fallvinkel: 21,2°
Inngangshastighet: 66,5 km/s
Radiantens rektascensjon: 07:06 (106,6°)
Radiantens deklinasjon: 27,2°
Meteorsverm: epsilon-geminidene
Meteoroidens baneelement:
Perihelavstand: 0,903 AU
Eksentrisitet: 0,527
Inklinasjon: 171,4°
Knutelengde: 202,5°
Perihelargument: 223,4°
Midlere anomali: 347,8°
Epoke: 2025 OCT 15 22:22:17
orbit plot

Ikke-interaktivt plott | Interaktivt plott

position vs time
speed and acceleration

Harestua (HAR) cam1


gnomonic
Videoer
• Gnomonisk
• Gnomonisk med koordinater
• Original
• Original med koordinater
Bilder
• Gnomonisk
• Gnomonisk med koordinater
• Original
• Original med koordinater
Tekstfiler
• Deteksjon
• Observasjon
• Logg
Lysstyrke

Voksenlia (OSL) cam1


gnomonic
Videoer
• Gnomonisk
• Gnomonisk med koordinater
• Original
• Original med koordinater
Bilder
• Gnomonisk
• Gnomonisk med koordinater
• Original
• Original med koordinater
Tekstfiler
• Deteksjon
• Observasjon
• Koordinater
• Logg
Lysstyrke