🇳🇴 🇬🇧 🇩🇪 🇨🇿 🇫🇮

Meteor, poloha: Midsund 2025-10-15 23:11:20 UTC

Soubor KML  |  InteraktivnĂ­ mapa

Mapa zobrazuje dráhy meteoru. Světlejší čáry ukazují směry od pozorovacích stanic při objevení se meteoru a tmavší čáry, kde byl naposledy viděn. Modrá šipka značí viditelnou dráhu meteoru.

static map
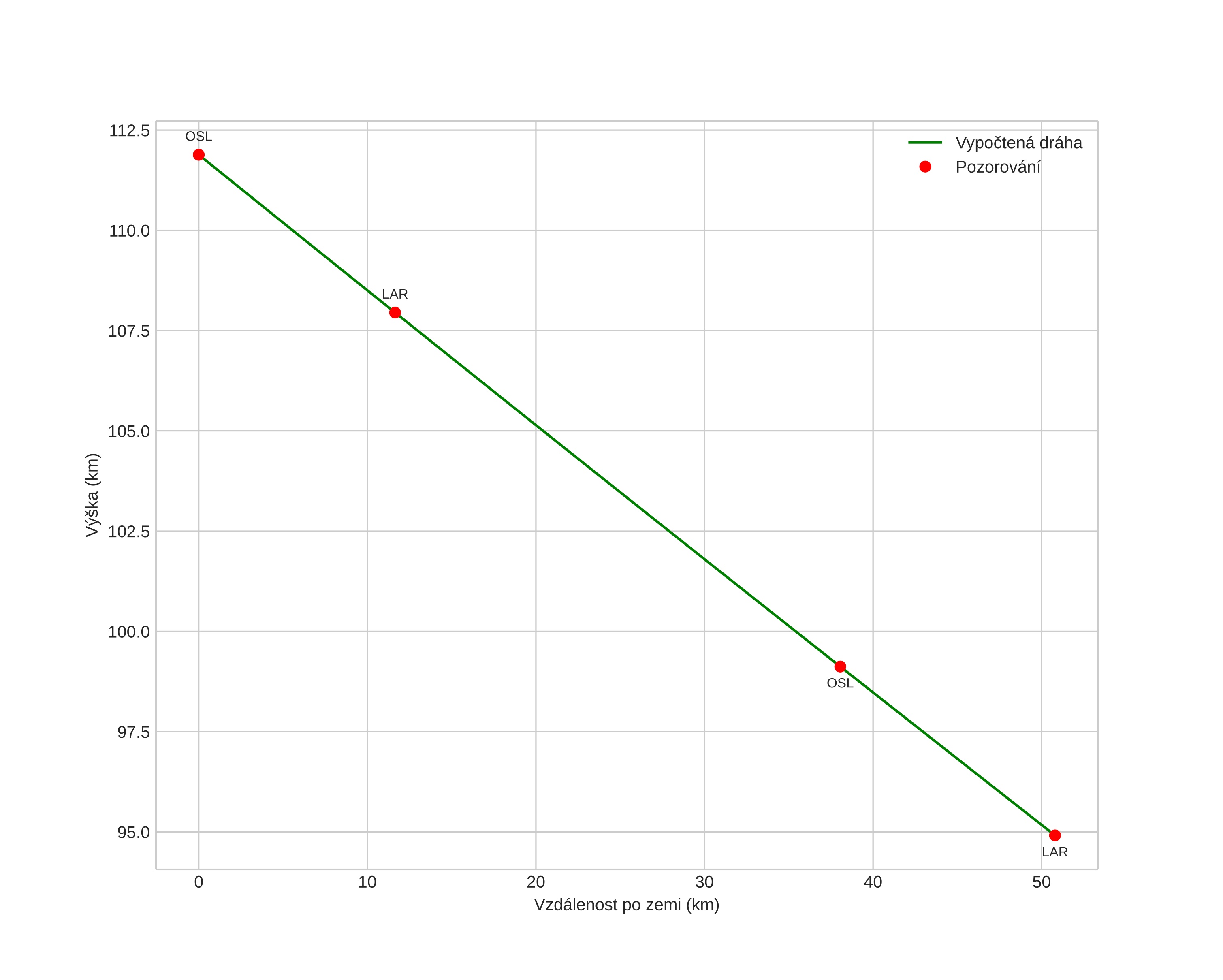
height profile
Atmosférická dráha meteoru:
Počáteční výška: 116,1 km
Konečná výška: 95,6 km
Počáteční poloha: 62,705N 7,765E
Konečná poloha: 62,642N 6,666E
Směr: 263,4°
Sklon: 19,9°
VstupnĂ­ rychlost: 58,1 km/s
Rektascenze radiantu: 07:06 (106,5°)
Deklinace radiantu: 20,1°
MeteorickĂ˝ roj: epsilon-geminidene
Elementy dráhy meteoroidu:
Vzdálenost v periheliu: 0,609 AU
Excentricita: 0,302
Sklon dráhy: 174,7°
Délka vzestupného uzlu: 22,5°
Argument perihelia: 132,9°
Střední anomálie: 256,7°
Epocha: 2025 OCT 15 23:11:20
orbit plot

NeinteraktivnĂ­ graf | InteraktivnĂ­ graf

position vs time
speed and acceleration

Larvik (LAR) cam1


gnomonic
Videa
• Gnomonická
• Gnomonická se souřadnicemi
• Původní
• Původní se souřadnicemi
Obrázky
• Gnomonická
• Gnomonická se souřadnicemi
• Původní
• Původní se souřadnicemi
Textové soubory
• Detekce
• Pozorování
• Souřadnice
• Protokol
Jasnost

Voksenlia (OSL) cam1


gnomonic
Videa
• Gnomonická
• Gnomonická se souřadnicemi
• Původní
• Původní se souřadnicemi
Obrázky
• Gnomonická
• Gnomonická se souřadnicemi
• Původní
• Původní se souřadnicemi
Textové soubory
• Detekce
• Pozorování
• Protokol
Jasnost