🇳🇴 🇬🇧 🇩🇪 🇨🇿 🇫🇮

Meteor Midsundin yllä 2025-10-15 23:11:20 UTC

KML-tiedosto  |  Interaktiivinen kartta

Kartta näyttää meteorin suuntahavainnot. Vaaleammat viivat näyttävät suunnat havaintoasemilta meteorin ilmestyessä, ja tummemmat viivat näyttävät, missä se viimeksi nähtiin. Sininen nuoli näyttää meteorin näkyvän lennon.

static map
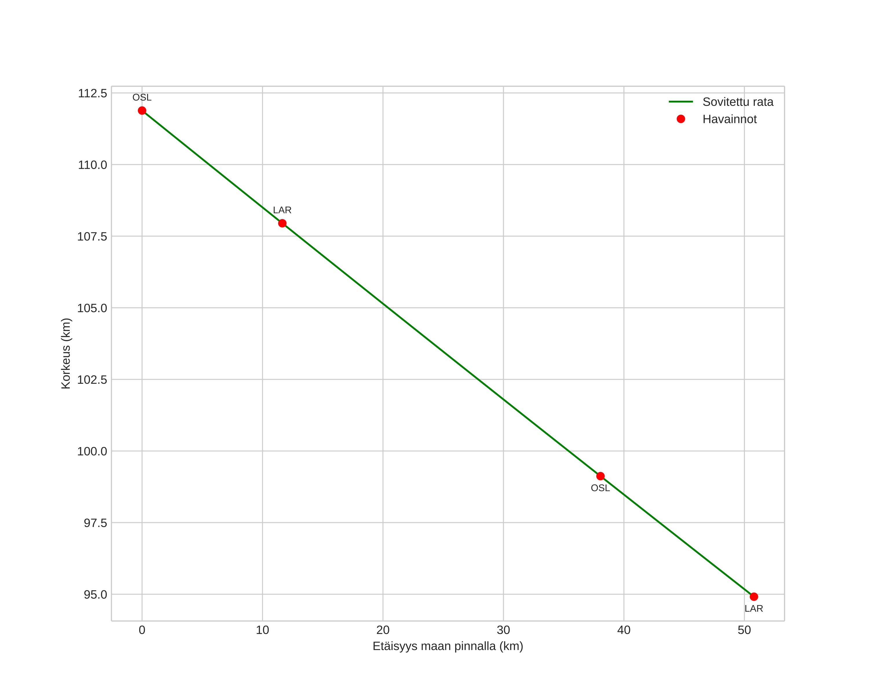
height profile
Meteorin ilmakehärata:
Alkukorkeus: 116,1 km
Loppukorkeus: 95,6 km
Alkupiste: 62,705N 7,765E
Loppupiste: 62,642N 6,666E
Suunta: 263,4°
Kallistuskulma: 19,9°
Tulonopeus: 58,1 km/s
Radiantin R,A,: 07:06 (106,5°)
Radiantin Dekl,: 20,1°
Meteoriparvi: epsilon-geminidene
Meteoroidin rataelementit:
Perihelietäisyys: 0,609 AU
Eksentrisyys: 0,302
Inklinaatio: 174,7°
Nousevan solmun pituus: 22,5°
Perihelin argumentti: 132,9°
Keskianomalia: 256,7°
Epookki: 2025 OCT 15 23:11:20
orbit plot

Ei-interaktiivinen kuvaaja | Interaktiivinen kuvaaja

position vs time
speed and acceleration

Larvik (LAR) cam1


gnomonic
Videot:
• Gnomoninen
• Gnomoninen koordinaateilla
• Alkuperäinen
• Alkuperäinen koordinaateilla
Kuvat:
• Gnomoninen
• Gnomoninen koordinaateilla
• Alkuperäinen
• Alkuperäinen koordinaateilla
Tekstitiedostot:
• Havaintoraportti
• Observaatio
• Koordinaatit
• Loki
Kirkkaus

Voksenlia (OSL) cam1


gnomonic
Videot:
• Gnomoninen
• Gnomoninen koordinaateilla
• Alkuperäinen
• Alkuperäinen koordinaateilla
Kuvat:
• Gnomoninen
• Gnomoninen koordinaateilla
• Alkuperäinen
• Alkuperäinen koordinaateilla
Tekstitiedostot:
• Havaintoraportti
• Observaatio
• Loki
Kirkkaus