🇳🇴 🇬🇧 🇩🇪 🇨🇿 🇫🇮

Meteor, poloha: Hovsta 2025-10-15 23:32:59 UTC

Soubor KML  |  Interaktivní mapa

Mapa zobrazuje dráhy meteoru. Světlejší čáry ukazují směry od pozorovacích stanic při objevení se meteoru a tmavší čáry, kde byl naposledy viděn. Modrá šipka značí viditelnou dráhu meteoru.

static map
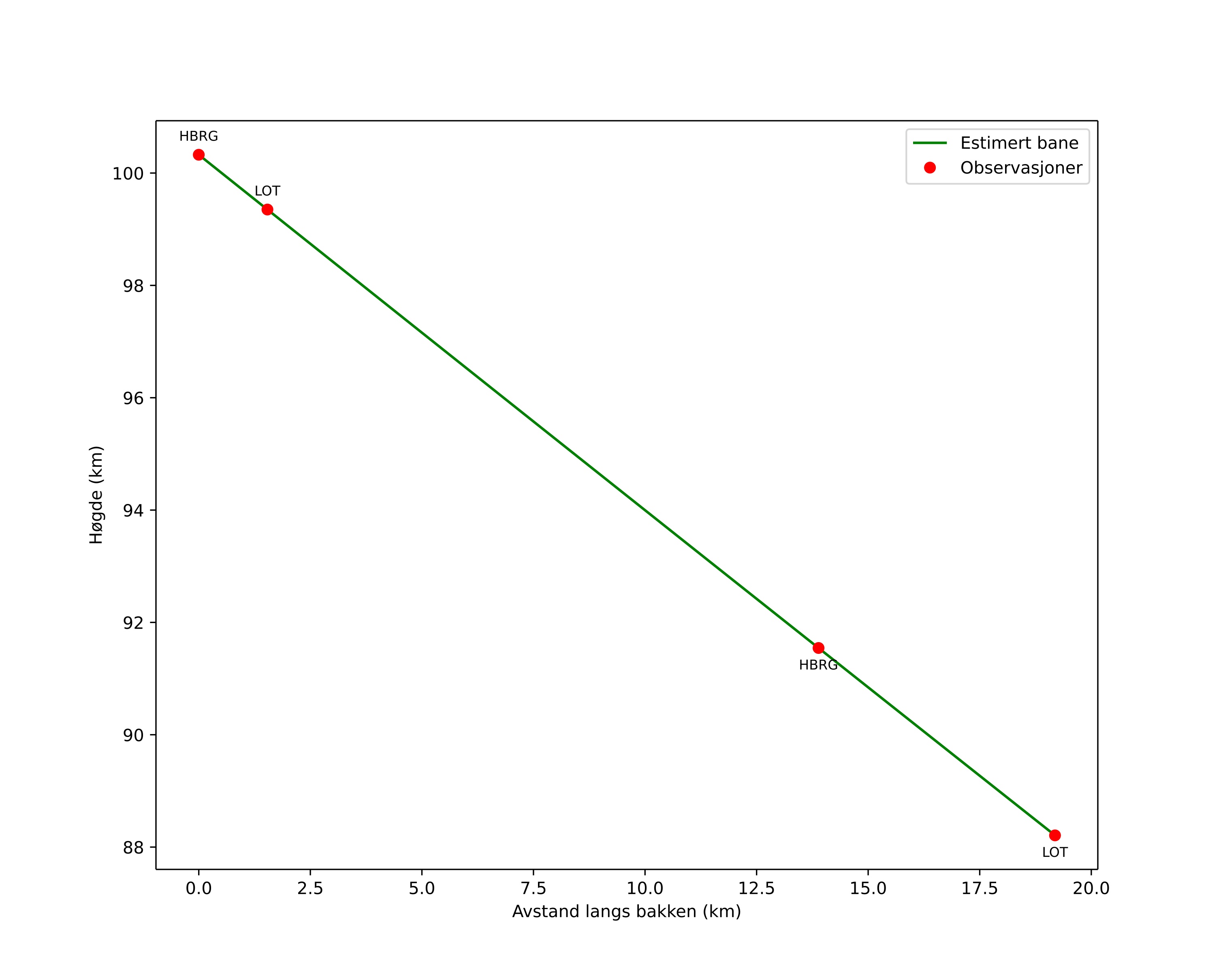
height profile
Atmosférická dráha meteoru:
Počáteční výška: 108,5 km
Konečná výška: 86,7 km
Počáteční poloha: 59,285N 15,863E
Konečná poloha: 59,399N 15,298E
Směr: 291,9°
Sklon: 32,3°
Vstupní rychlost: 61,5 km/s
Rektascenze radiantu: 05:54 (88,7°)
Deklinace radiantu: 16,9°
Meteorický roj: Orionidy
Elementy dráhy meteoroidu:
Vzdálenost v periheliu: 0,427 AU
Excentricita: 0,758
Sklon dráhy: 164,7°
Délka vzestupného uzlu: 22,5°
Argument perihelia: 109,0°
Střední anomálie: 340,6°
Epocha: 2025 OCT 15 23:32:59
orbit plot

Neinteraktivní graf | Interaktivní graf

position vs time
speed and acceleration