🇳🇴 🇬🇧 🇩🇪 🇨🇿 🇫🇮

Meteor Hovstan yllä 2025-10-15 23:32:59 UTC

KML-tiedosto  |  Interaktiivinen kartta

Kartta näyttää meteorin suuntahavainnot. Vaaleammat viivat näyttävät suunnat havaintoasemilta meteorin ilmestyessä, ja tummemmat viivat näyttävät, missä se viimeksi nähtiin. Sininen nuoli näyttää meteorin näkyvän lennon.

static map
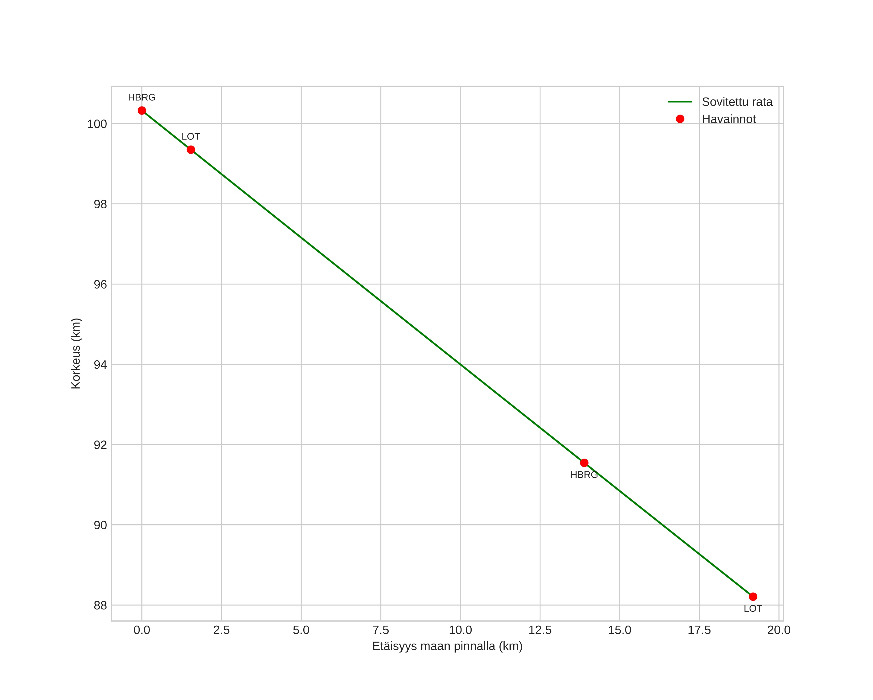
height profile
Meteorin ilmakehärata:
Alkukorkeus: 108,5 km
Loppukorkeus: 86,7 km
Alkupiste: 59,285N 15,863E
Loppupiste: 59,399N 15,298E
Suunta: 291,9°
Kallistuskulma: 32,3°
Tulonopeus: 61,5 km/s
Radiantin R,A,: 05:54 (88,7°)
Radiantin Dekl,: 16,9°
Meteoriparvi: Orionidit
Meteoroidin rataelementit:
Perihelietäisyys: 0,427 AU
Eksentrisyys: 0,758
Inklinaatio: 164,7°
Nousevan solmun pituus: 22,5°
Perihelin argumentti: 109,0°
Keskianomalia: 340,6°
Epookki: 2025 OCT 15 23:32:59
orbit plot

Ei-interaktiivinen kuvaaja | Interaktiivinen kuvaaja

position vs time
speed and acceleration

Loten (LOT) cam3


gnomonic
Videot:
• Gnomoninen
• Gnomoninen koordinaateilla
• Alkuperäinen
• Alkuperäinen koordinaateilla
Kuvat:
• Gnomoninen
• Gnomoninen koordinaateilla
• Alkuperäinen
• Alkuperäinen koordinaateilla
Tekstitiedostot:
• Havaintoraportti
• Observaatio
• Koordinaatit
• Loki
Kirkkaus