🇳🇴 🇬🇧 🇩🇪 🇨🇿 🇫🇮

Meteor über Hovsta 2025-10-15 23:32:59 UTC

KML-Datei  |  Interaktive Karte

Die Karte zeigt die Peilungen für den Meteor. Die helleren Linien zeigen die Richtungen von den Beobachtungsorten beim Erscheinen des Meteors, und die dunkleren Linien, wo er zuletzt gesehen wurde. Der blaue Pfeil zeigt die sichtbare Bahn des Meteors.

static map
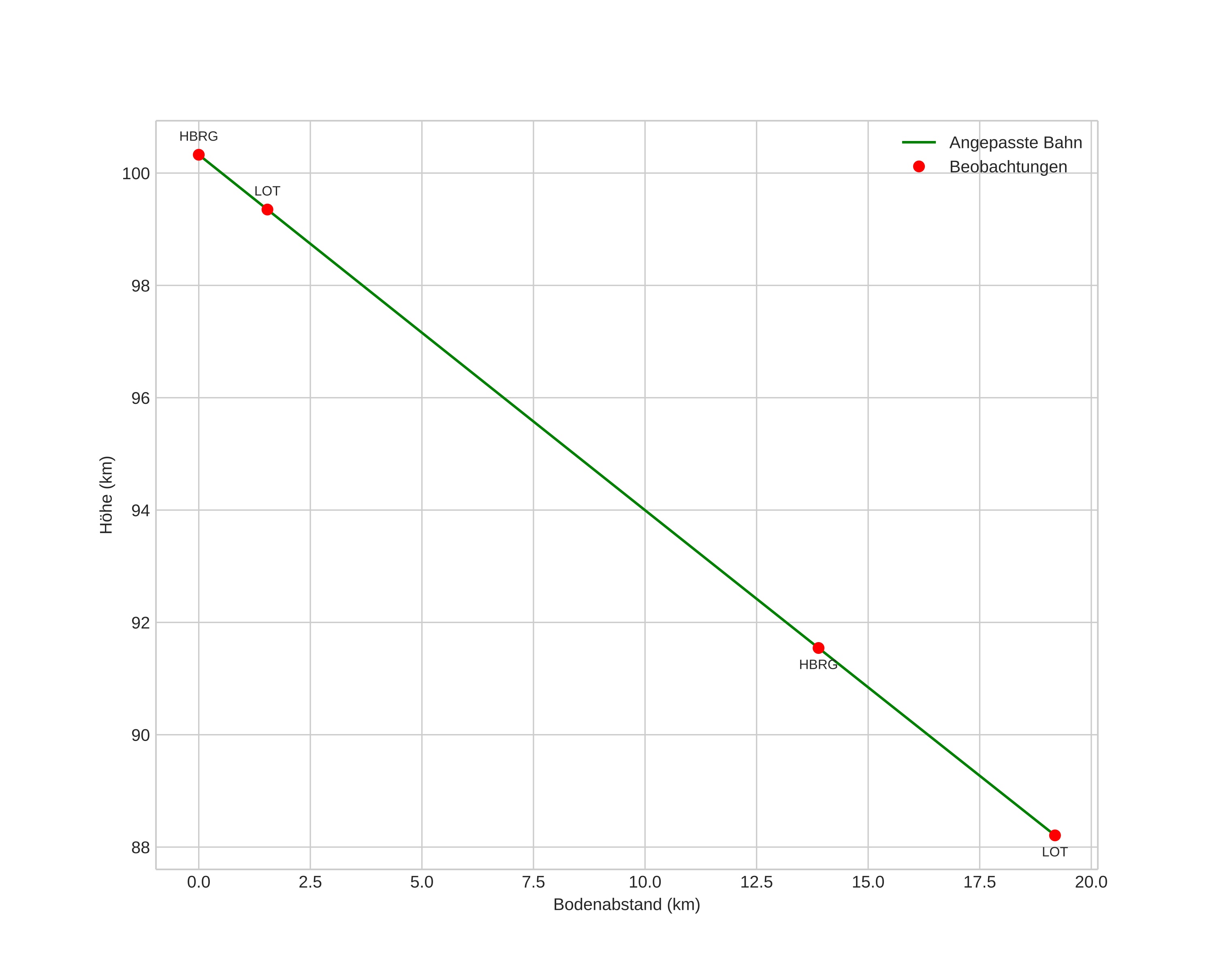
height profile
Atmosphärische Bahn des Meteors:
Anfangshöhe: 108,5 km
Endhöhe: 86,7 km
Startposition: 59,285N 15,863E
Endposition: 59,399N 15,298E
Richtung: 291,9°
Neigungswinkel: 32,3°
Eintrittsgeschwindigkeit: 61,5 km/s
Rektaszension des Radianten: 05:54 (88,7°)
Deklination des Radianten: 16,9°
Meteorstrom: Orioniden
Bahnelemente des Meteoroiden:
Periheldistanz: 0,427 AU
Exzentrizität: 0,758
Inklination: 164,7°
Länge des aufsteigenden Knotens: 22,5°
Argument des Perihels: 109,0°
Mittlere Anomalie: 340,6°
Epoche: 2025 OCT 15 23:32:59
orbit plot

Nicht-interaktives Diagramm | Interaktives Diagramm

position vs time
speed and acceleration

Loten (LOT) cam3


gnomonic
Videos
• Gnomonisch
• Gnomonisch mit Koordinaten
• Original
• Original mit Koordinaten
Bilder
• Gnomonisch
• Gnomonisch mit Koordinaten
• Original
• Original mit Koordinaten
Textdateien
• Erkennung
• Beobachtung
• Koordinaten
• Protokoll
Helligkeit