🇳🇴 🇬🇧 🇩🇪 🇨🇿 🇫🇮

Meteor Eiden yllä 2025-10-16 01:34:52 UTC

KML-tiedosto  |  Interaktiivinen kartta

Kartta näyttää meteorin suuntahavainnot. Vaaleammat viivat näyttävät suunnat havaintoasemilta meteorin ilmestyessä, ja tummemmat viivat näyttävät, missä se viimeksi nähtiin. Sininen nuoli näyttää meteorin näkyvän lennon.

static map
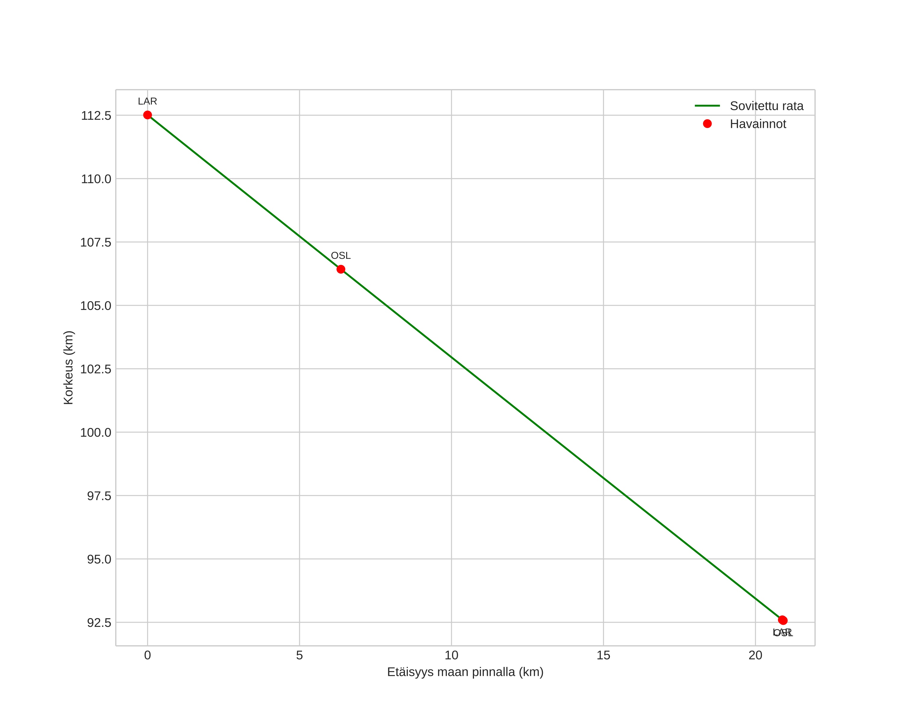
height profile
Meteorin ilmakehärata:
Alkukorkeus: 109,7 km
Loppukorkeus: 92,7 km
Alkupiste: 62,759N 7,815E
Loppupiste: 62,925N 7,513E
Suunta: 320,4°
Kallistuskulma: 35,4°
Tulonopeus: 70,2 km/s
Radiantin R,A,: 05:52 (88,1°)
Radiantin Dekl,: 12,7°
Meteoriparvi: Orionidit
Meteoroidin rataelementit:
Perihelietäisyys: 0,617 AU
Eksentrisyys: 1,164
Inklinaatio: 158,2°
Nousevan solmun pituus: 22,6°
Perihelin argumentti: 73,0°
Keskianomalia: -4,7°
Epookki: 2025 OCT 16 01:34:52
orbit plot

Ei-interaktiivinen kuvaaja | Interaktiivinen kuvaaja

position vs time
speed and acceleration

Larvik (LAR) cam1


gnomonic
Videot:
• Gnomoninen
• Gnomoninen koordinaateilla
• Alkuperäinen
• Alkuperäinen koordinaateilla
Kuvat:
• Gnomoninen
• Gnomoninen koordinaateilla
• Alkuperäinen
• Alkuperäinen koordinaateilla
Tekstitiedostot:
• Havaintoraportti
• Observaatio
• Koordinaatit
• Loki
Kirkkaus

Voksenlia (OSL) cam1


gnomonic
Videot:
• Gnomoninen
• Gnomoninen koordinaateilla
• Alkuperäinen
• Alkuperäinen koordinaateilla
Kuvat:
• Gnomoninen
• Gnomoninen koordinaateilla
• Alkuperäinen
• Alkuperäinen koordinaateilla
Tekstitiedostot:
• Havaintoraportti
• Observaatio
• Koordinaatit
• Loki
Kirkkaus