🇳🇴 🇬🇧 🇩🇪 🇨🇿 🇫🇮

Meteor over Eide 2025-10-16 01:34:52 UTC

KML-fil  |  Interaktivt kart

Kartet viser peilingene for meteoren. De lysere linjene viser retningene fra observasjonsstedene for meteorens tilsynekomst, og de mørkere linjene viser hvor den sist kunne sees. Den blå pila viser meteorens synlige ferd.

static map
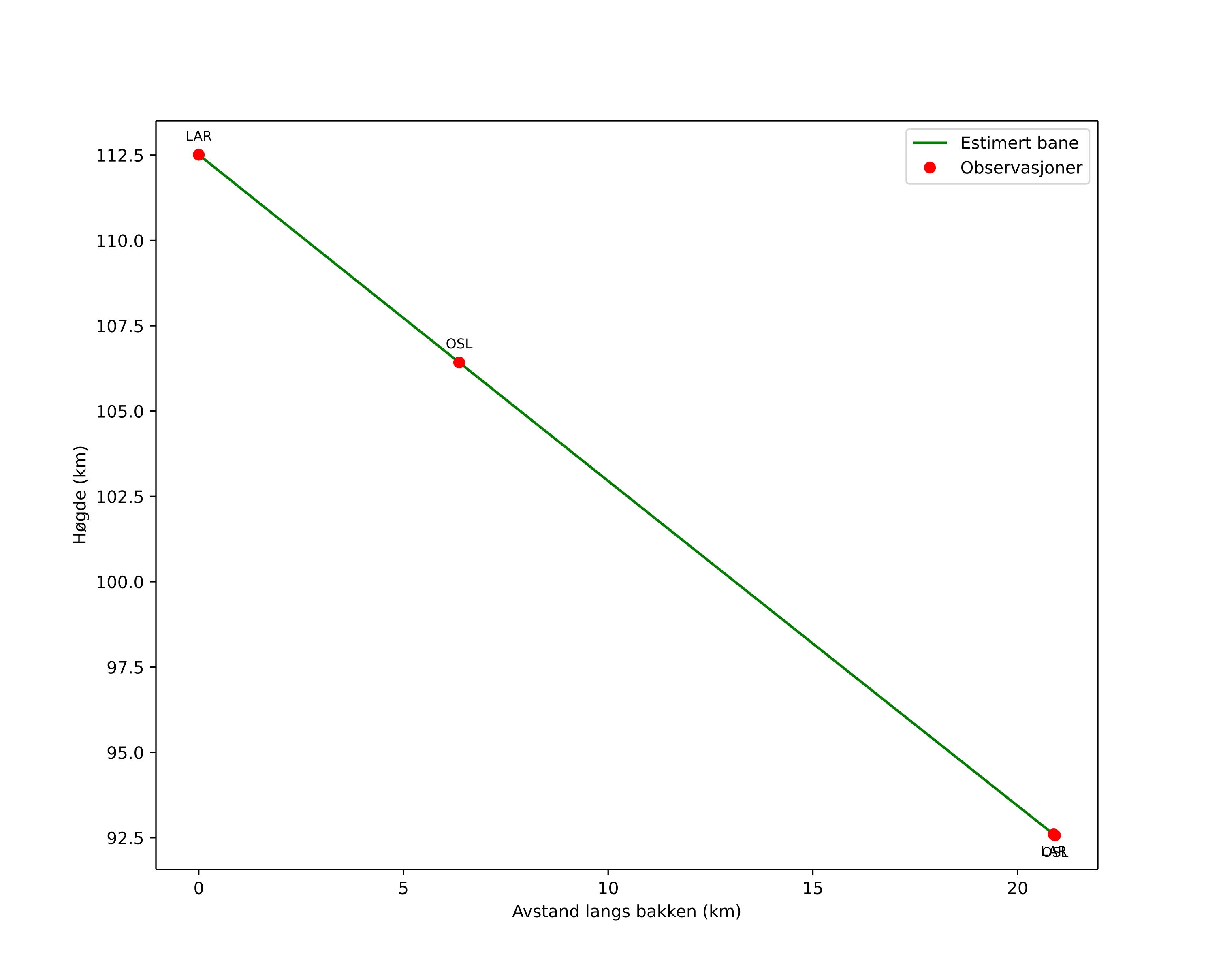
height profile
Meteorens atmosfæriske bane:
Starthøgde: 109,7 km
Slutthøgde: 92,7 km
Startposisjon: 62,759N 7,815E
Sluttposisjon: 62,925N 7,513E
Retning: 320,4°
Fallvinkel: 35,4°
Inngangshastighet: 70,2 km/s
Radiantens rektascensjon: 05:52 (88,1°)
Radiantens deklinasjon: 12,7°
Meteorsverm: Orionidene
Meteoroidens baneelement:
Perihelavstand: 0,617 AU
Eksentrisitet: 1,164
Inklinasjon: 158,2°
Knutelengde: 22,6°
Perihelargument: 73,0°
Midlere anomali: -4,7°
Epoke: 2025 OCT 16 01:34:52
orbit plot

Ikke-interaktivt plott | Interaktivt plott

position vs time
speed and acceleration

Larvik (LAR) cam1


gnomonic
Videoer
• Gnomonisk
• Gnomonisk med koordinater
• Original
• Original med koordinater
Bilder
• Gnomonisk
• Gnomonisk med koordinater
• Original
• Original med koordinater
Tekstfiler
• Deteksjon
• Observasjon
• Koordinater
• Logg
Lysstyrke

Voksenlia (OSL) cam1


gnomonic
Videoer
• Gnomonisk
• Gnomonisk med koordinater
• Original
• Original med koordinater
Bilder
• Gnomonisk
• Gnomonisk med koordinater
• Original
• Original med koordinater
Tekstfiler
• Deteksjon
• Observasjon
• Koordinater
• Logg
Lysstyrke