🇳🇴 🇬🇧 🇩🇪 🇨🇿 🇫🇮

Meteor, poloha: Stange 2025-10-16 21:02:06 UTC

Soubor KML

Mapa zobrazuje dráhy meteoru. Světlejší čáry ukazují směry od pozorovacích stanic při objevení se meteoru a tmavší čáry, kde byl naposledy viděn. Modrá šipka značí viditelnou dráhu meteoru.

static map
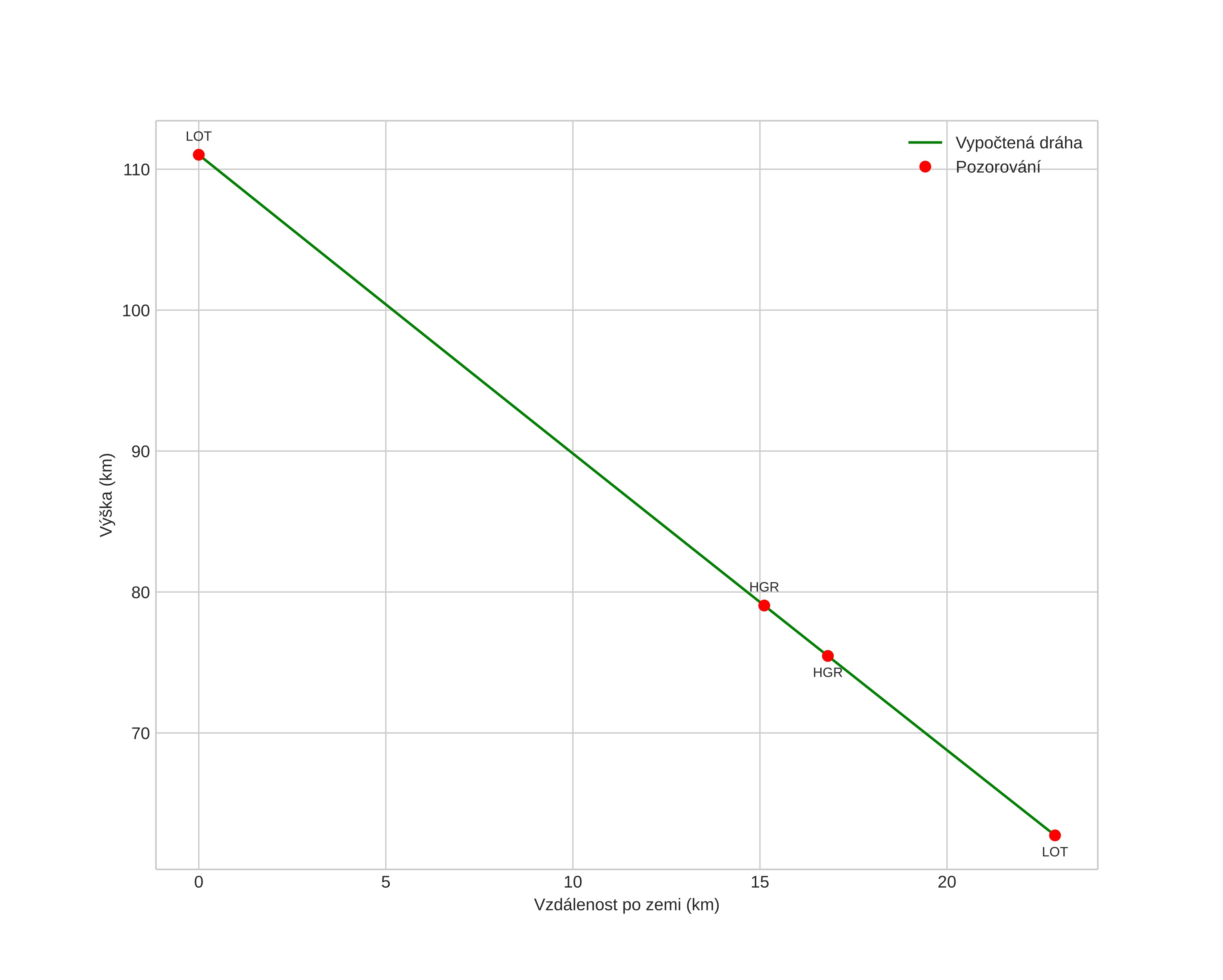
height profile
Atmosférická dráha meteoru:
Počáteční výška: 111,0 km
Konečná výška: 62,7 km
Počáteční poloha: 60,625N 10,737E
Konečná poloha: 60,680N 11,142E
Směr: 74,2°
Sklon: 64,6°
Vstupní rychlost: 88,5 km/s
Rektascenze radiantu: 20:57 (314,3°)
Deklinace radiantu: 46,6°
Meteorický roj: sporadický
Elementy dráhy meteoroidu:
Vzdálenost v periheliu: 0,936 AU
Excentricita: 10,135
Sklon dráhy: 51,7°
Délka vzestupného uzlu: 203,4°
Argument perihelia: 201,0°
Střední anomálie: -181,5°
Epocha: 2025 OCT 16 21:02:06
orbit plot

Neinteraktivní graf

position vs time
speed and acceleration