🇳🇴 🇬🇧 🇩🇪 🇨🇿 🇫🇮

Meteor over Stange 2025-10-16 21:02:06 UTC

KML-fil

Kartet viser peilingene for meteoren. De lysere linjene viser retningene fra observasjonsstedene for meteorens tilsynekomst, og de mørkere linjene viser hvor den sist kunne sees. Den blå pila viser meteorens synlige ferd.

static map
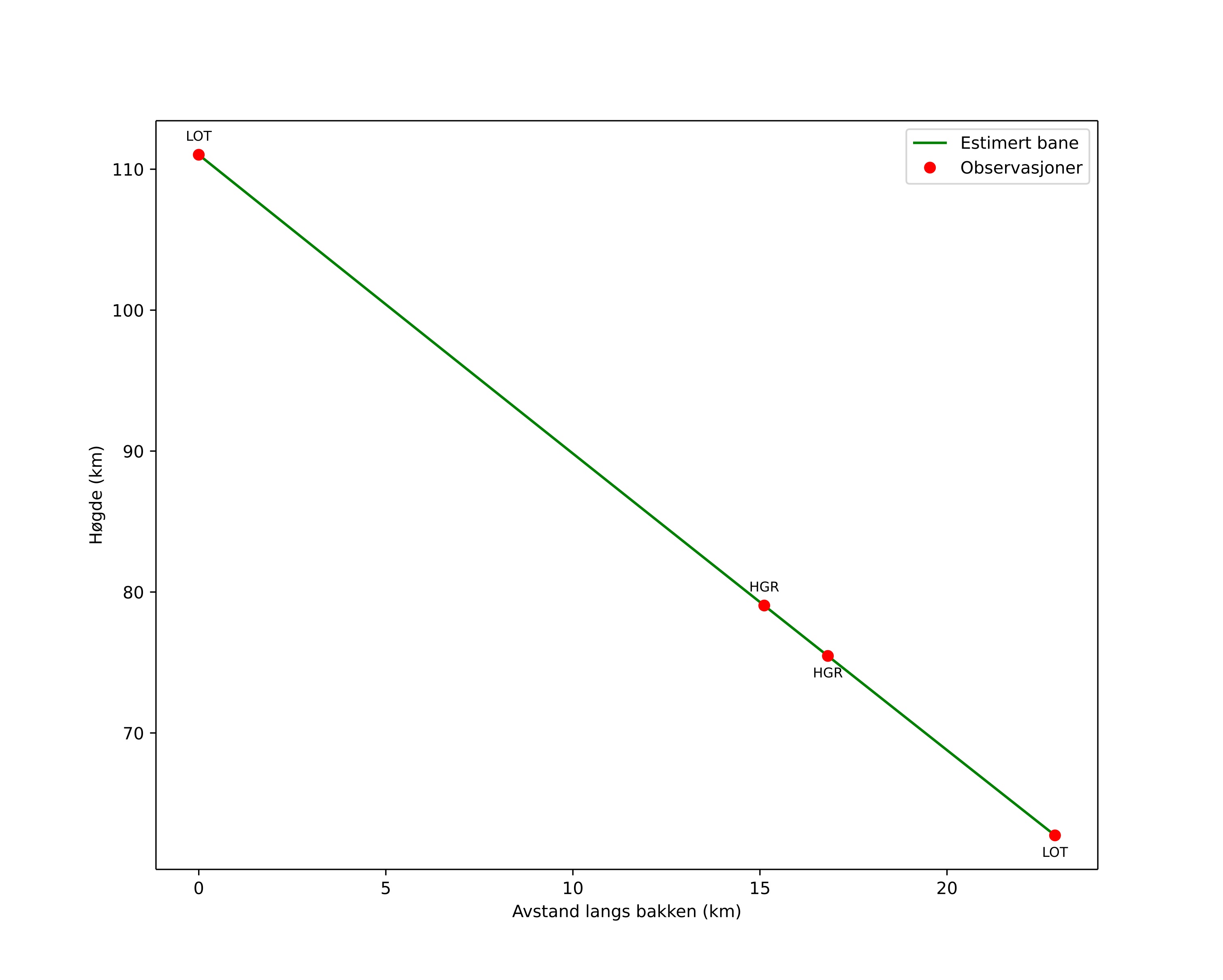
height profile
Meteorens atmosfæriske bane:
Starthøgde: 111,0 km
Slutthøgde: 62,7 km
Startposisjon: 60,625N 10,737E
Sluttposisjon: 60,680N 11,142E
Retning: 74,2°
Fallvinkel: 64,6°
Inngangshastighet: 88,5 km/s
Radiantens rektascensjon: 20:57 (314,3°)
Radiantens deklinasjon: 46,6°
Meteorsverm: sporadisk
Meteoroidens baneelement:
Perihelavstand: 0,936 AU
Eksentrisitet: 10,135
Inklinasjon: 51,7°
Knutelengde: 203,4°
Perihelargument: 201,0°
Midlere anomali: -181,5°
Epoke: 2025 OCT 16 21:02:06
orbit plot

Ikke-interaktivt plott

position vs time
speed and acceleration

Hagar (HGR) cam7


gnomonic
Videoer
• Gnomonisk
• Gnomonisk med koordinater
• Original
• Original (HEVC)
• Original med koordinater
Bilder
• Gnomonisk
• Gnomonisk med koordinater
• Original
• Original med koordinater
Tekstfiler
• Deteksjon
• Observasjon
• Koordinater
• Logg
Lysstyrke

Loten (LOT) cam7


gnomonic
Videoer
• Gnomonisk
• Gnomonisk med koordinater
• Original
• Original (HEVC)
• Original med koordinater
Bilder
• Gnomonisk
• Gnomonisk med koordinater
• Original
• Original med koordinater
Tekstfiler
• Deteksjon
• Observasjon
• Koordinater
• Logg
Lysstyrke