🇳🇴 🇬🇧 🇩🇪 🇨🇿 🇫🇮

Meteor, poloha: Orsa 2025-10-17 01:53:19 UTC

Soubor KML  |  Interaktivní mapa

Mapa zobrazuje dráhy meteoru. Světlejší čáry ukazují směry od pozorovacích stanic při objevení se meteoru a tmavší čáry, kde byl naposledy viděn. Modrá šipka značí viditelnou dráhu meteoru.

static map
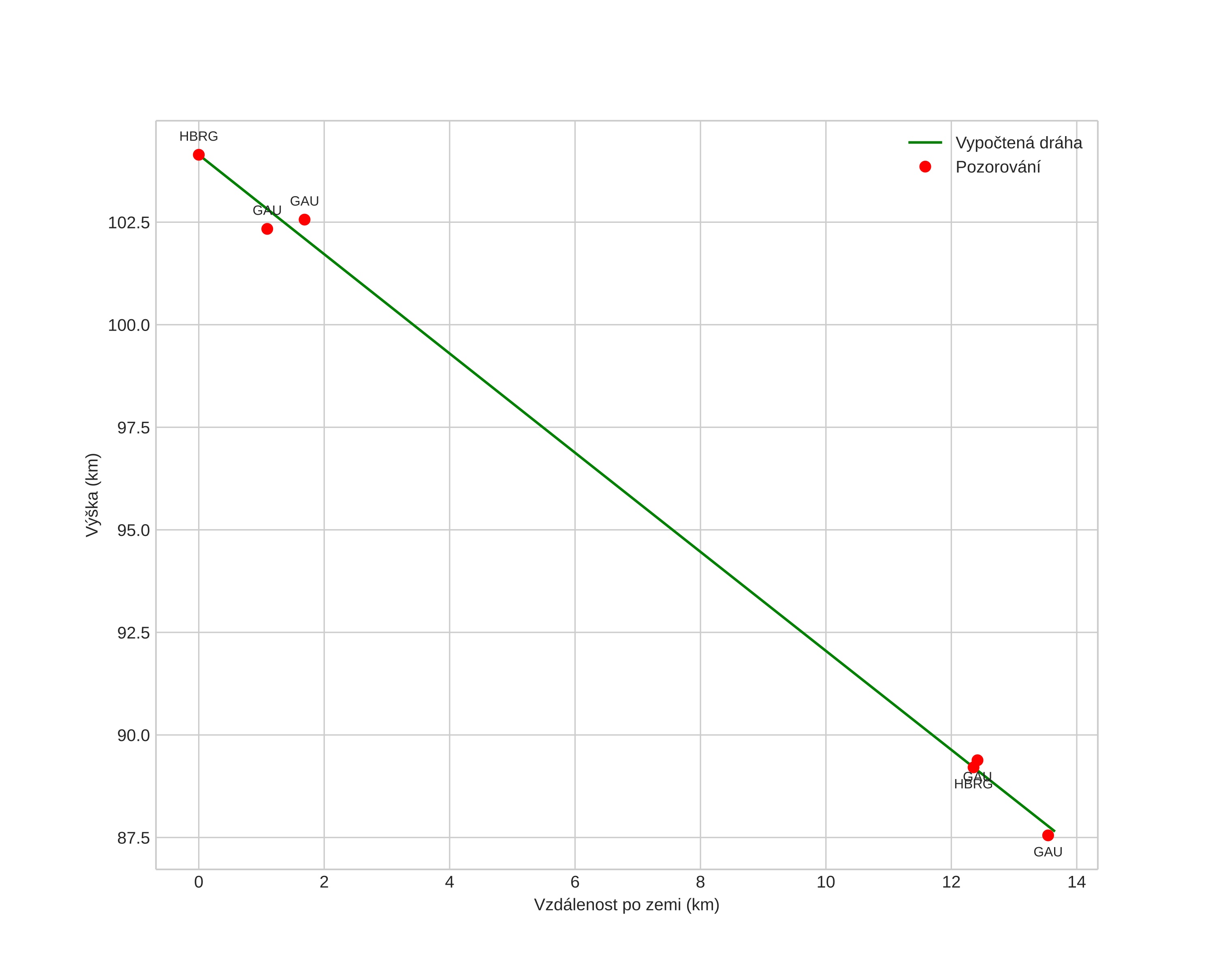
height profile
Atmosférická dráha meteoru:
Počáteční výška: 103,9 km
Konečná výška: 87,5 km
Počáteční poloha: 61,183N 14,802E
Konečná poloha: 61,269N 14,616E
Směr: 313,7°
Sklon: 50,0°
Vstupní rychlost: 73,0 km/s
Rektascenze radiantu: 06:39 (99,9°)
Deklinace radiantu: 27,0°
Meteorický roj: epsilon-geminidene
Elementy dráhy meteoroidu:
Vzdálenost v periheliu: 0,827 AU
Excentricita: 1,156
Sklon dráhy: 173,0°
Délka vzestupného uzlu: 203,6°
Argument perihelia: 227,0°
Střední anomálie: -2,2°
Epocha: 2025 OCT 17 01:53:19
orbit plot

Neinteraktivní graf | Interaktivní graf

position vs time
speed and acceleration