🇳🇴 🇬🇧 🇩🇪 🇨🇿 🇫🇮

Meteor über Orsa 2025-10-17 01:53:19 UTC

KML-Datei  |  Interaktive Karte

Die Karte zeigt die Peilungen für den Meteor. Die helleren Linien zeigen die Richtungen von den Beobachtungsorten beim Erscheinen des Meteors, und die dunkleren Linien, wo er zuletzt gesehen wurde. Der blaue Pfeil zeigt die sichtbare Bahn des Meteors.

static map
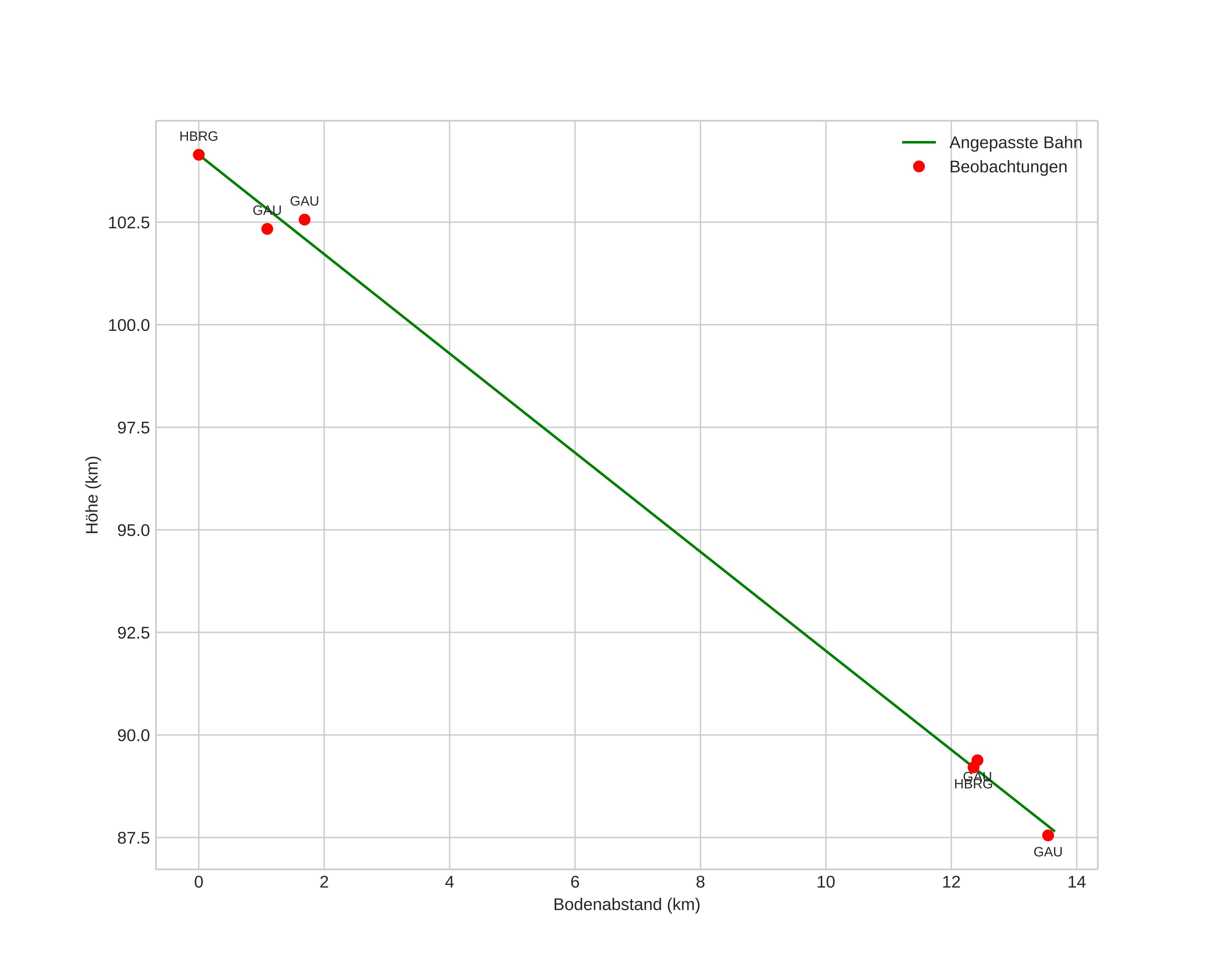
height profile
Atmosphärische Bahn des Meteors:
Anfangshöhe: 103,9 km
Endhöhe: 87,5 km
Startposition: 61,183N 14,802E
Endposition: 61,269N 14,616E
Richtung: 313,7°
Neigungswinkel: 50,0°
Eintrittsgeschwindigkeit: 73,0 km/s
Rektaszension des Radianten: 06:39 (99,9°)
Deklination des Radianten: 27,0°
Meteorstrom: epsilon-geminidene
Bahnelemente des Meteoroiden:
Periheldistanz: 0,827 AU
Exzentrizität: 1,156
Inklination: 173,0°
Länge des aufsteigenden Knotens: 203,6°
Argument des Perihels: 227,0°
Mittlere Anomalie: -2,2°
Epoche: 2025 OCT 17 01:53:19
orbit plot

Nicht-interaktives Diagramm | Interaktives Diagramm

position vs time
speed and acceleration

Gaustatoppen (GAU) cam2


gnomonic
Videos
• Gnomonisch
• Gnomonisch mit Koordinaten
• Original
• Original mit Koordinaten
Bilder
• Gnomonisch
• Gnomonisch mit Koordinaten
• Original
• Original mit Koordinaten
Textdateien
• Erkennung
• Beobachtung
• Koordinaten
• Protokoll
Helligkeit