🇳🇴 🇬🇧 🇩🇪 🇨🇿 🇫🇮

Meteor, poloha: Hovden 2025-10-18 02:32:12 UTC

Soubor KML  |  InteraktivnĂ­ mapa

Mapa zobrazuje dráhy meteoru. Světlejší čáry ukazují směry od pozorovacích stanic při objevení se meteoru a tmavší čáry, kde byl naposledy viděn. Modrá šipka značí viditelnou dráhu meteoru.

static map
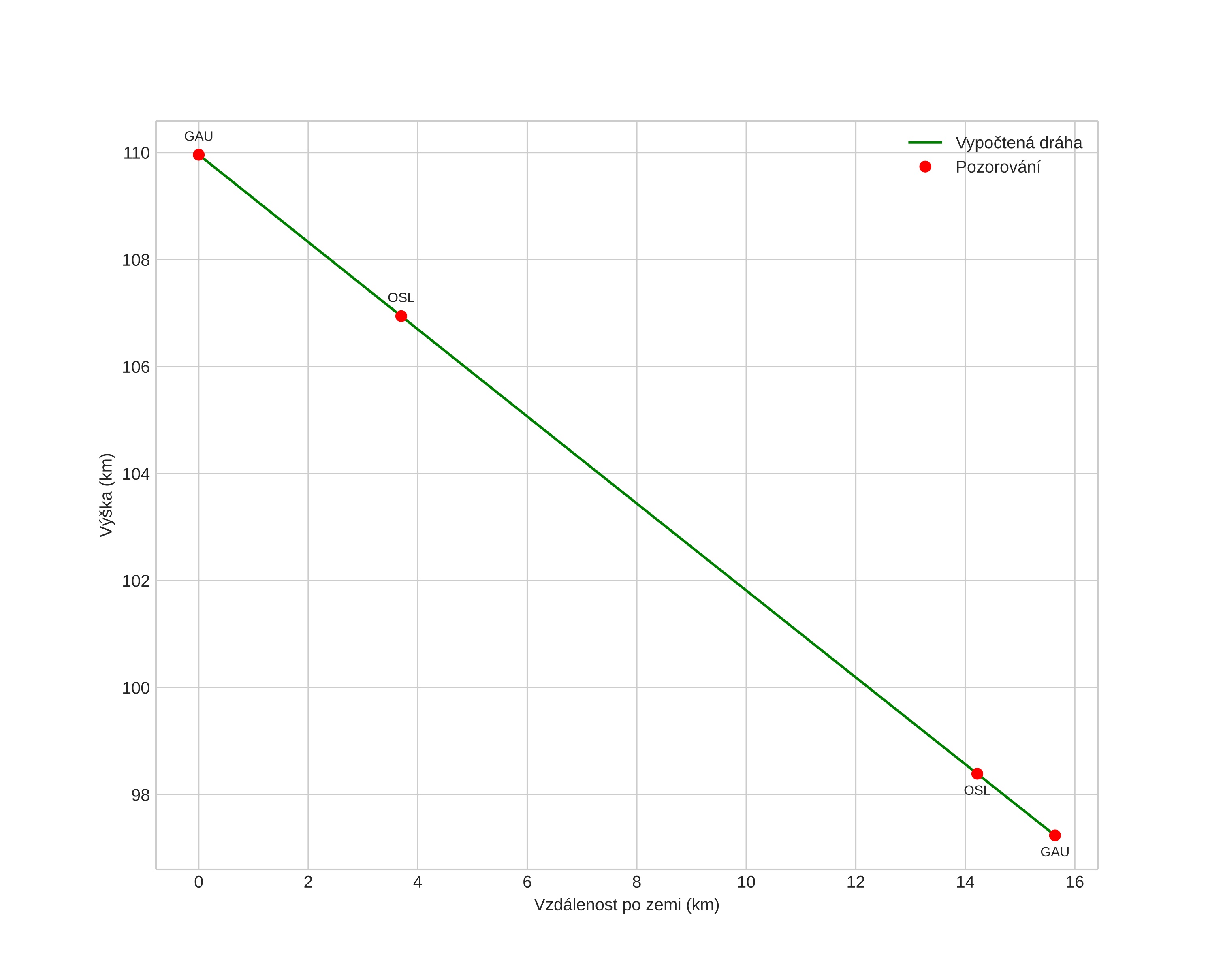
height profile
Atmosférická dráha meteoru:
Počáteční výška: 110,1 km
Konečná výška: 95,9 km
Počáteční poloha: 59,901N 7,726E
Konečná poloha: 60,020N 7,599E
Směr: 332,0°
Sklon: 43,5°
VstupnĂ­ rychlost: 73,0 km/s
Rektascenze radiantu: 06:10 (92,7°)
Deklinace radiantu: 15,6°
MeteorickĂ˝ roj: Orionidy
Elementy dráhy meteoroidu:
Vzdálenost v periheliu: 0,692 AU
Excentricita: 1,291
Sklon dráhy: 164,9°
Délka vzestupného uzlu: 24,6°
Argument perihelia: 62,8°
Střední anomálie: -8,4°
Epocha: 2025 OCT 18 02:32:12
orbit plot

NeinteraktivnĂ­ graf | InteraktivnĂ­ graf

position vs time
speed and acceleration

Gaustatoppen (GAU) cam6


gnomonic
Videa
• Gnomonická
• Gnomonická se souřadnicemi
• Původní
• Původní se souřadnicemi
Obrázky
• Gnomonická
• Gnomonická se souřadnicemi
• Původní
• Původní se souřadnicemi
Textové soubory
• Detekce
• Pozorování
• Souřadnice
• Protokol
Jasnost

Voksenlia (OSL) cam2


gnomonic
Videa
• Gnomonická
• Gnomonická se souřadnicemi
• Původní
• Původní se souřadnicemi
Obrázky
• Gnomonická
• Gnomonická se souřadnicemi
• Původní
• Původní se souřadnicemi
Textové soubory
• Detekce
• Pozorování
• Souřadnice
• Protokol
Jasnost