🇳🇴 🇬🇧 🇩🇪 🇨🇿 🇫🇮

Meteor Hovdenin yllä 2025-10-18 02:32:12 UTC

KML-tiedosto  |  Interaktiivinen kartta

Kartta näyttää meteorin suuntahavainnot. Vaaleammat viivat näyttävät suunnat havaintoasemilta meteorin ilmestyessä, ja tummemmat viivat näyttävät, missä se viimeksi nähtiin. Sininen nuoli näyttää meteorin näkyvän lennon.

static map
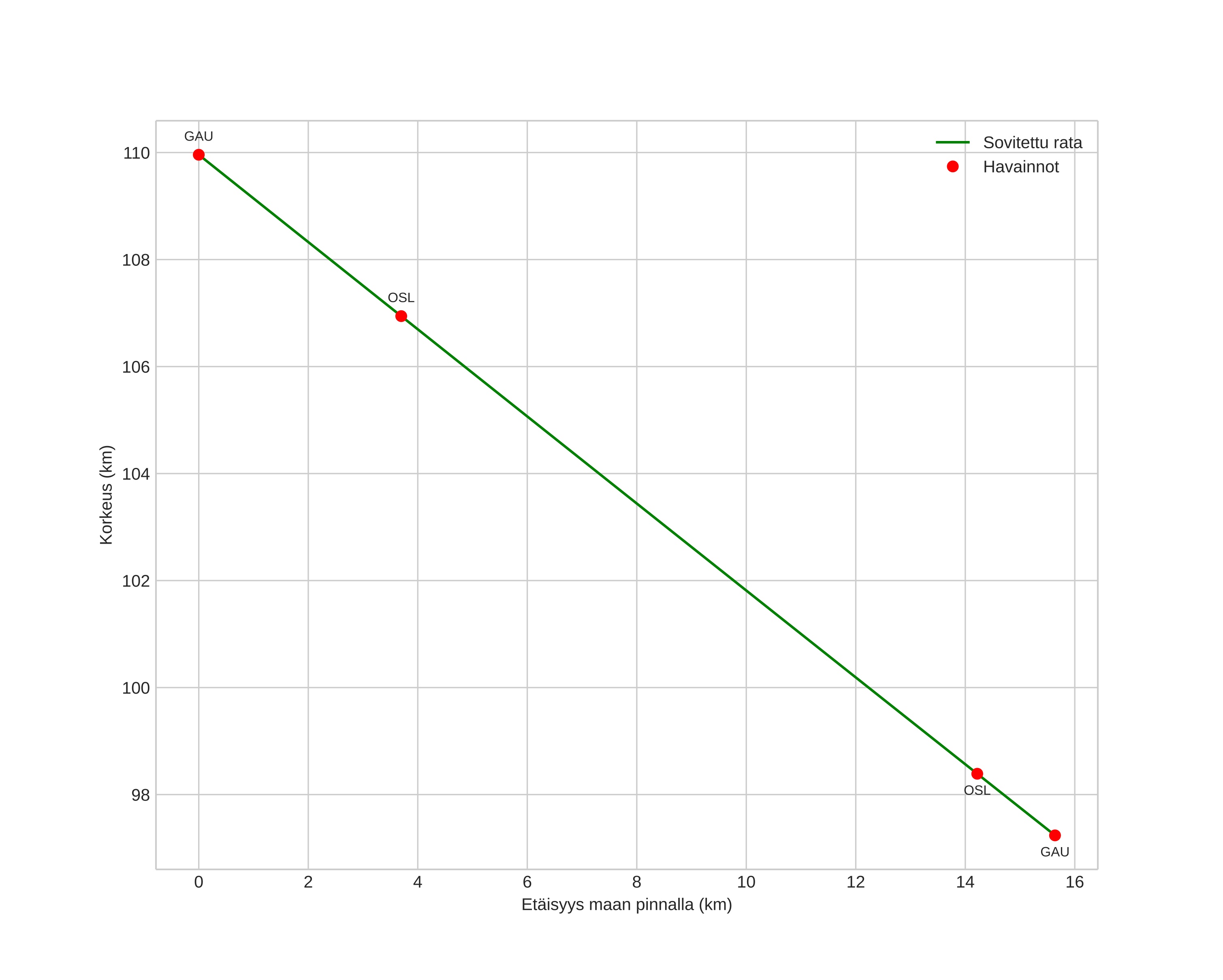
height profile
Meteorin ilmakehärata:
Alkukorkeus: 110,1 km
Loppukorkeus: 95,9 km
Alkupiste: 59,901N 7,726E
Loppupiste: 60,020N 7,599E
Suunta: 332,0°
Kallistuskulma: 43,5°
Tulonopeus: 73,0 km/s
Radiantin R,A,: 06:10 (92,7°)
Radiantin Dekl,: 15,6°
Meteoriparvi: Orionidit
Meteoroidin rataelementit:
Perihelietäisyys: 0,692 AU
Eksentrisyys: 1,291
Inklinaatio: 164,9°
Nousevan solmun pituus: 24,6°
Perihelin argumentti: 62,8°
Keskianomalia: -8,4°
Epookki: 2025 OCT 18 02:32:12
orbit plot

Ei-interaktiivinen kuvaaja | Interaktiivinen kuvaaja

position vs time
speed and acceleration

Gaustatoppen (GAU) cam6


gnomonic
Videot:
• Gnomoninen
• Gnomoninen koordinaateilla
• Alkuperäinen
• Alkuperäinen koordinaateilla
Kuvat:
• Gnomoninen
• Gnomoninen koordinaateilla
• Alkuperäinen
• Alkuperäinen koordinaateilla
Tekstitiedostot:
• Havaintoraportti
• Observaatio
• Koordinaatit
• Loki
Kirkkaus

Voksenlia (OSL) cam2


gnomonic
Videot:
• Gnomoninen
• Gnomoninen koordinaateilla
• Alkuperäinen
• Alkuperäinen koordinaateilla
Kuvat:
• Gnomoninen
• Gnomoninen koordinaateilla
• Alkuperäinen
• Alkuperäinen koordinaateilla
Tekstitiedostot:
• Havaintoraportti
• Observaatio
• Koordinaatit
• Loki
Kirkkaus