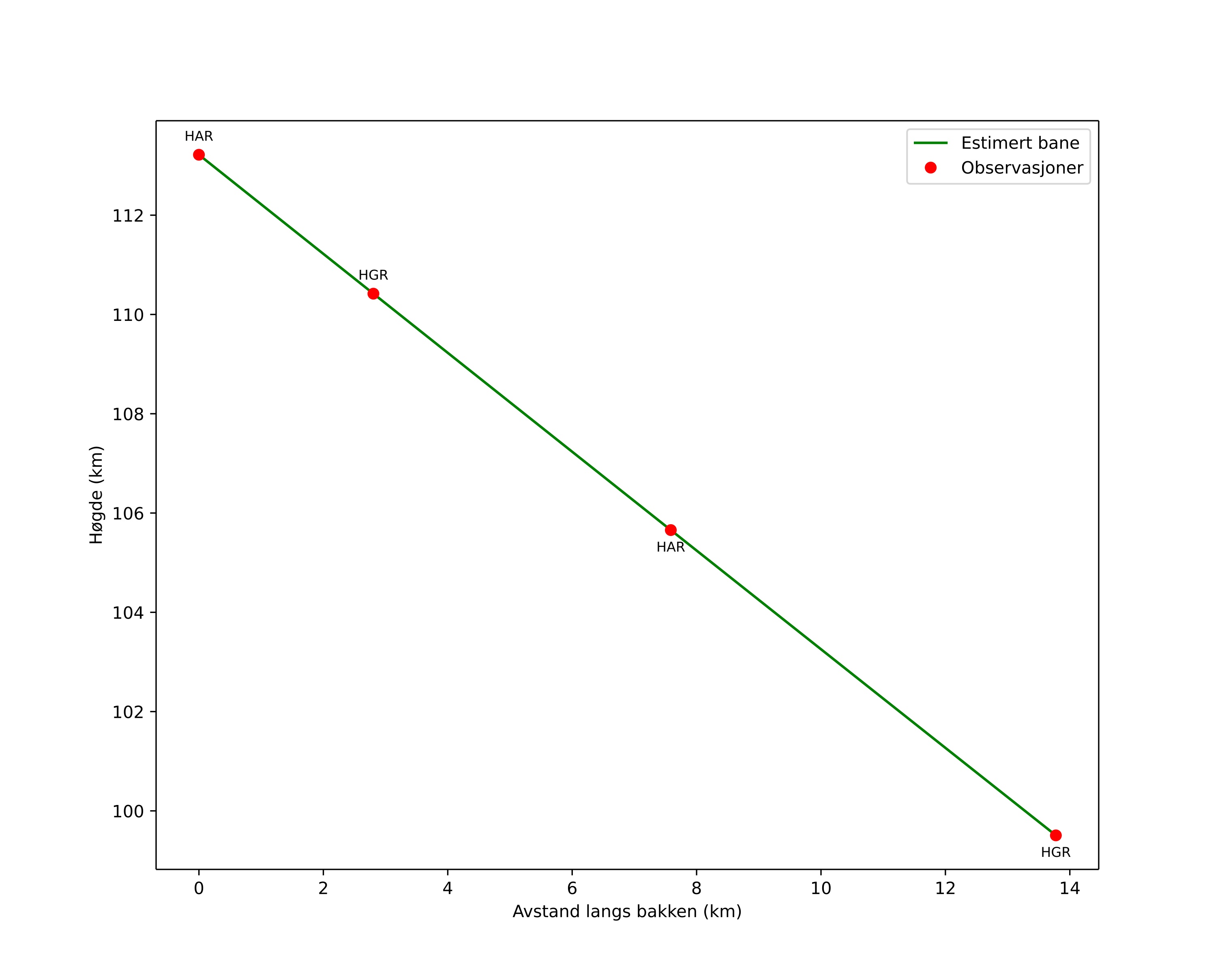
Atmosférická dráha meteoru:
| Počátečnà výška: | 113,9 km |
| Konečná výška: | 99,3 km |
| Počátečnà poloha: | 59,818N 10,563E |
| Konečná poloha: | 59,938N 10,483E |
| Směr: | 341,6° |
| Sklon: | 45,9° |
| VstupnĂ rychlost: | 61,6 km/s |
| Rektascenze radiantu: | 06:08 (92,0°) |
| Deklinace radiantu: | 16,3° |
| MeteorickĂ˝ roj: | Orionidy |
|
Elementy dráhy meteoroidu:
| Vzdálenost v periheliu: | 0,457 AU |
| Excentricita: | 0,736 |
| Sklon dráhy: | 163,7° |
| Délka vzestupného uzlu: | 24,6° |
| Argument perihelia: | 106,1° |
| Střednà anomálie: | 339,7° |
| Epocha: | 2025 OCT 18 02:47:56 |
|