🇳🇴 🇬🇧 🇩🇪 🇨🇿 🇫🇮

Meteor, poloha: Skui 2025-10-18 02:47:56 UTC

Soubor KML  |  InteraktivnĂ­ mapa

Mapa zobrazuje dráhy meteoru. Světlejší čáry ukazují směry od pozorovacích stanic při objevení se meteoru a tmavší čáry, kde byl naposledy viděn. Modrá šipka značí viditelnou dráhu meteoru.

static map
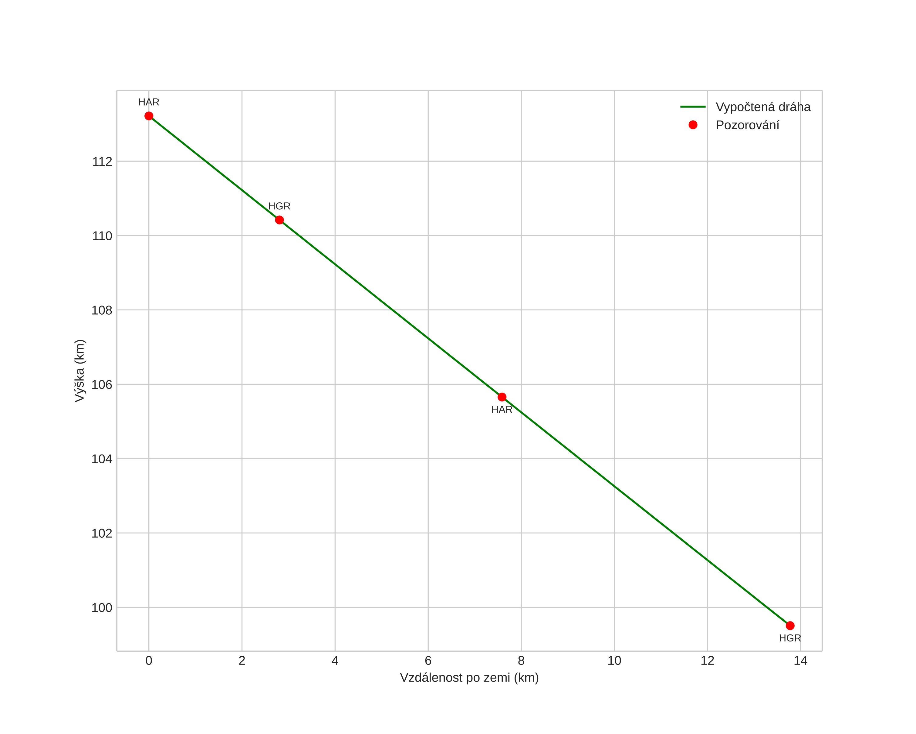
height profile
Atmosférická dráha meteoru:
Počáteční výška: 113,9 km
Konečná výška: 99,3 km
Počáteční poloha: 59,818N 10,563E
Konečná poloha: 59,938N 10,483E
Směr: 341,6°
Sklon: 45,9°
VstupnĂ­ rychlost: 61,6 km/s
Rektascenze radiantu: 06:08 (92,0°)
Deklinace radiantu: 16,3°
MeteorickĂ˝ roj: Orionidy
Elementy dráhy meteoroidu:
Vzdálenost v periheliu: 0,457 AU
Excentricita: 0,736
Sklon dráhy: 163,7°
Délka vzestupného uzlu: 24,6°
Argument perihelia: 106,1°
Střední anomálie: 339,7°
Epocha: 2025 OCT 18 02:47:56
orbit plot

NeinteraktivnĂ­ graf | InteraktivnĂ­ graf

position vs time
speed and acceleration

Hagar (HGR) cam6


gnomonic
Videa
• Gnomonická
• Gnomonická se souřadnicemi
• Původní
• Původní se souřadnicemi
Obrázky
• Gnomonická
• Gnomonická se souřadnicemi
• Původní
• Původní se souřadnicemi
Textové soubory
• Detekce
• Pozorování
• Souřadnice
• Protokol
Jasnost

Harestua (HAR) cam7


gnomonic
Videa
• Gnomonická
• Gnomonická se souřadnicemi
• Původní
• Původní se souřadnicemi
Obrázky
• Gnomonická
• Gnomonická se souřadnicemi
• Původní
• Původní se souřadnicemi
Textové soubory
• Detekce
• Pozorování
• Souřadnice
• Protokol
Jasnost