🇳🇴 🇬🇧 🇩🇪 🇨🇿 🇫🇮

Meteor Skuin yllä 2025-10-18 02:47:56 UTC

KML-tiedosto  |  Interaktiivinen kartta

Kartta näyttää meteorin suuntahavainnot. Vaaleammat viivat näyttävät suunnat havaintoasemilta meteorin ilmestyessä, ja tummemmat viivat näyttävät, missä se viimeksi nähtiin. Sininen nuoli näyttää meteorin näkyvän lennon.

static map
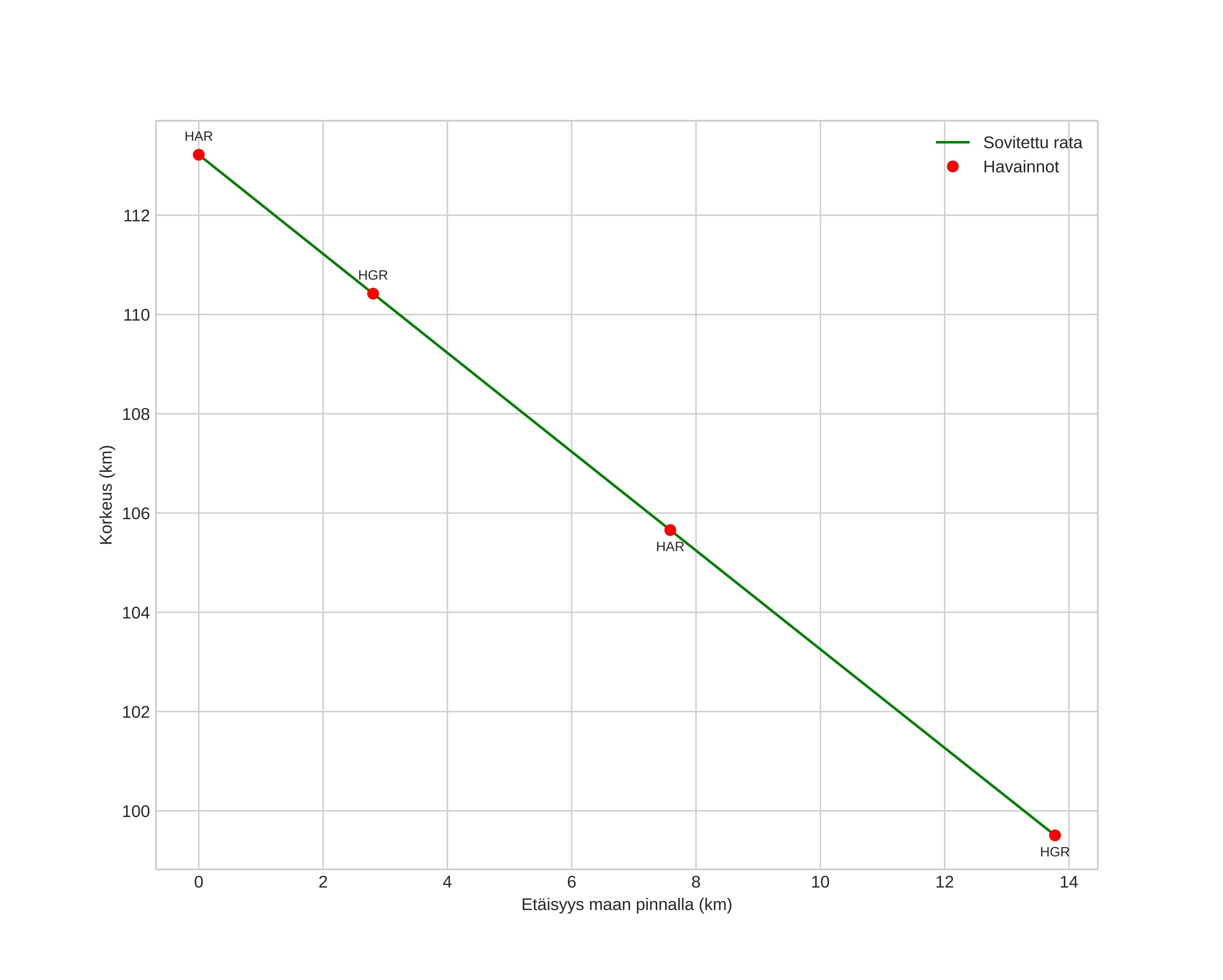
height profile
Meteorin ilmakehärata:
Alkukorkeus: 113,9 km
Loppukorkeus: 99,3 km
Alkupiste: 59,818N 10,563E
Loppupiste: 59,938N 10,483E
Suunta: 341,6°
Kallistuskulma: 45,9°
Tulonopeus: 61,6 km/s
Radiantin R,A,: 06:08 (92,0°)
Radiantin Dekl,: 16,3°
Meteoriparvi: Orionidit
Meteoroidin rataelementit:
Perihelietäisyys: 0,457 AU
Eksentrisyys: 0,736
Inklinaatio: 163,7°
Nousevan solmun pituus: 24,6°
Perihelin argumentti: 106,1°
Keskianomalia: 339,7°
Epookki: 2025 OCT 18 02:47:56
orbit plot

Ei-interaktiivinen kuvaaja | Interaktiivinen kuvaaja

position vs time
speed and acceleration

Hagar (HGR) cam6


gnomonic
Videot:
• Gnomoninen
• Gnomoninen koordinaateilla
• Alkuperäinen
• Alkuperäinen koordinaateilla
Kuvat:
• Gnomoninen
• Gnomoninen koordinaateilla
• Alkuperäinen
• Alkuperäinen koordinaateilla
Tekstitiedostot:
• Havaintoraportti
• Observaatio
• Koordinaatit
• Loki
Kirkkaus

Harestua (HAR) cam7


gnomonic
Videot:
• Gnomoninen
• Gnomoninen koordinaateilla
• Alkuperäinen
• Alkuperäinen koordinaateilla
Kuvat:
• Gnomoninen
• Gnomoninen koordinaateilla
• Alkuperäinen
• Alkuperäinen koordinaateilla
Tekstitiedostot:
• Havaintoraportti
• Observaatio
• Koordinaatit
• Loki
Kirkkaus