🇳🇴 🇬🇧 🇩🇪 🇨🇿 🇫🇮

Meteor über Årnes 2025-10-18 03:22:40 UTC

KML-Datei  |  Interaktive Karte

Die Karte zeigt die Peilungen für den Meteor. Die helleren Linien zeigen die Richtungen von den Beobachtungsorten beim Erscheinen des Meteors, und die dunkleren Linien, wo er zuletzt gesehen wurde. Der blaue Pfeil zeigt die sichtbare Bahn des Meteors.

static map
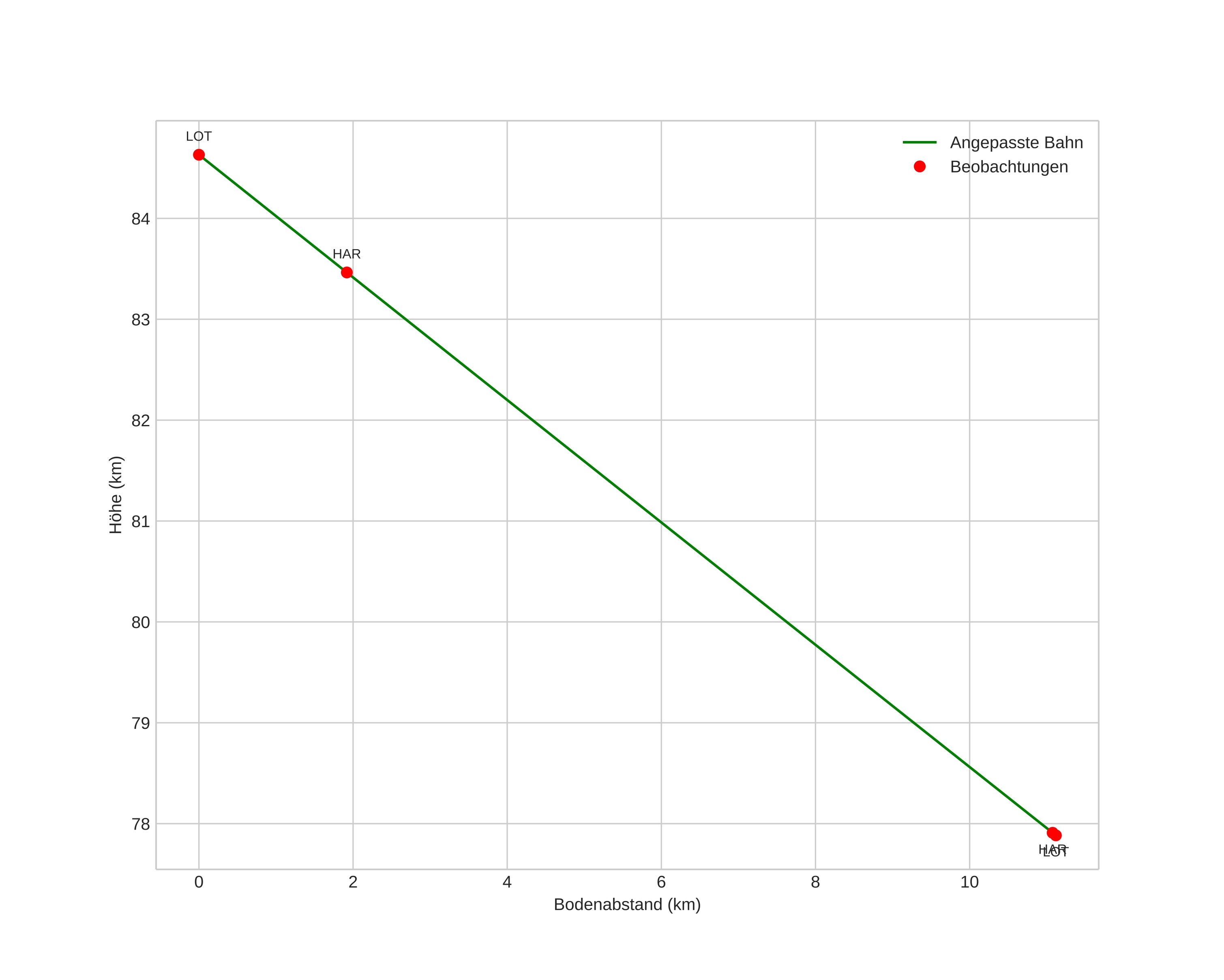
height profile
Atmosphärische Bahn des Meteors:
Anfangshöhe: 85,6 km
Endhöhe: 79,8 km
Startposition: 60,268N 11,465E
Endposition: 60,187N 11,545E
Richtung: 153,6°
Neigungswinkel: 30,2°
Eintrittsgeschwindigkeit: 19,3 km/s
Rektaszension des Radianten: 20:32 (308,1°)
Deklination des Radianten: 48,6°
Meteorstrom: sporadisch
Bahnelemente des Meteoroiden:
Periheldistanz: 0,973 AU
Exzentrizität: 0,656
Inklination: 22,0°
Länge des aufsteigenden Knotens: 204,6°
Argument des Perihels: 199,7°
Mittlere Anomalie: 356,9°
Epoche: 2025 OCT 18 03:22:40
orbit plot

Nicht-interaktives Diagramm | Interaktives Diagramm

position vs time
speed and acceleration

Harestua (HAR) cam6


gnomonic
Videos
• Gnomonisch
• Gnomonisch mit Koordinaten
• Original
• Original mit Koordinaten
Bilder
• Gnomonisch
• Gnomonisch mit Koordinaten
• Original
• Original mit Koordinaten
Textdateien
• Erkennung
• Beobachtung
• Koordinaten
• Protokoll
Helligkeit

Loten (LOT) cam7


gnomonic
Videos
• Gnomonisch
• Gnomonisch mit Koordinaten
• Original
• Original mit Koordinaten
Bilder
• Gnomonisch
• Gnomonisch mit Koordinaten
• Original
• Original mit Koordinaten
Textdateien
• Erkennung
• Beobachtung
• Koordinaten
• Protokoll
Helligkeit