🇳🇴 🇬🇧 🇩🇪 🇨🇿 🇫🇮

Meteor Årnesin yllä 2025-10-18 03:22:40 UTC

KML-tiedosto  |  Interaktiivinen kartta

Kartta näyttää meteorin suuntahavainnot. Vaaleammat viivat näyttävät suunnat havaintoasemilta meteorin ilmestyessä, ja tummemmat viivat näyttävät, missä se viimeksi nähtiin. Sininen nuoli näyttää meteorin näkyvän lennon.

static map
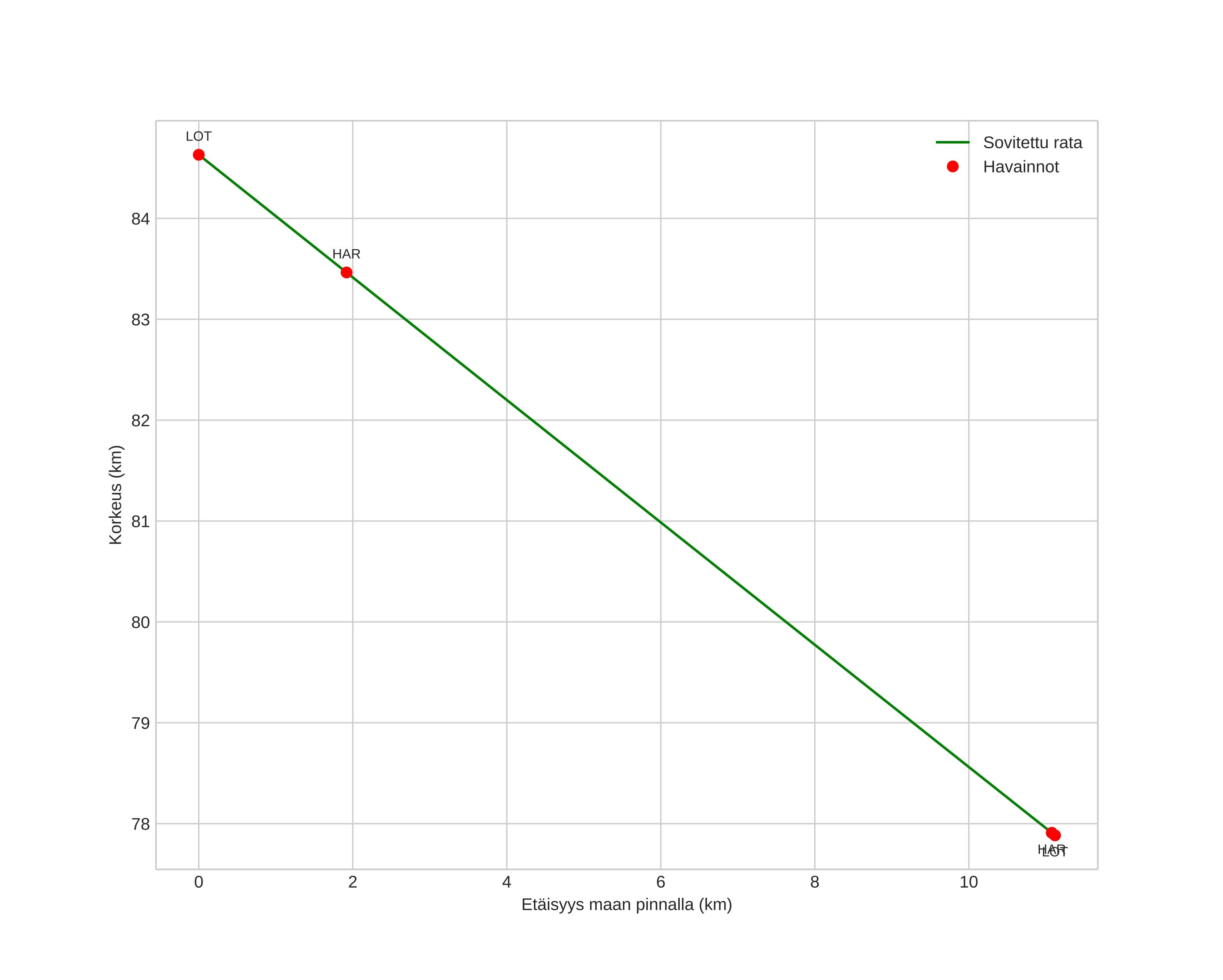
height profile
Meteorin ilmakehärata:
Alkukorkeus: 85,6 km
Loppukorkeus: 79,8 km
Alkupiste: 60,268N 11,465E
Loppupiste: 60,187N 11,545E
Suunta: 153,6°
Kallistuskulma: 30,2°
Tulonopeus: 19,3 km/s
Radiantin R,A,: 20:32 (308,1°)
Radiantin Dekl,: 48,6°
Meteoriparvi: Sporadinen
Meteoroidin rataelementit:
Perihelietäisyys: 0,973 AU
Eksentrisyys: 0,656
Inklinaatio: 22,0°
Nousevan solmun pituus: 204,6°
Perihelin argumentti: 199,7°
Keskianomalia: 356,9°
Epookki: 2025 OCT 18 03:22:40
orbit plot

Ei-interaktiivinen kuvaaja | Interaktiivinen kuvaaja

position vs time
speed and acceleration

Harestua (HAR) cam6


gnomonic
Videot:
• Gnomoninen
• Gnomoninen koordinaateilla
• Alkuperäinen
• Alkuperäinen koordinaateilla
Kuvat:
• Gnomoninen
• Gnomoninen koordinaateilla
• Alkuperäinen
• Alkuperäinen koordinaateilla
Tekstitiedostot:
• Havaintoraportti
• Observaatio
• Koordinaatit
• Loki
Kirkkaus

Loten (LOT) cam7


gnomonic
Videot:
• Gnomoninen
• Gnomoninen koordinaateilla
• Alkuperäinen
• Alkuperäinen koordinaateilla
Kuvat:
• Gnomoninen
• Gnomoninen koordinaateilla
• Alkuperäinen
• Alkuperäinen koordinaateilla
Tekstitiedostot:
• Havaintoraportti
• Observaatio
• Koordinaatit
• Loki
Kirkkaus