🇳🇴 🇬🇧 🇩🇪 🇨🇿 🇫🇮

Meteor, poloha: Stavern 2025-10-18 23:02:57 UTC

Soubor KML  |  InteraktivnĂ­ mapa

Mapa zobrazuje dráhy meteoru. Světlejší čáry ukazují směry od pozorovacích stanic při objevení se meteoru a tmavší čáry, kde byl naposledy viděn. Modrá šipka značí viditelnou dráhu meteoru.

static map
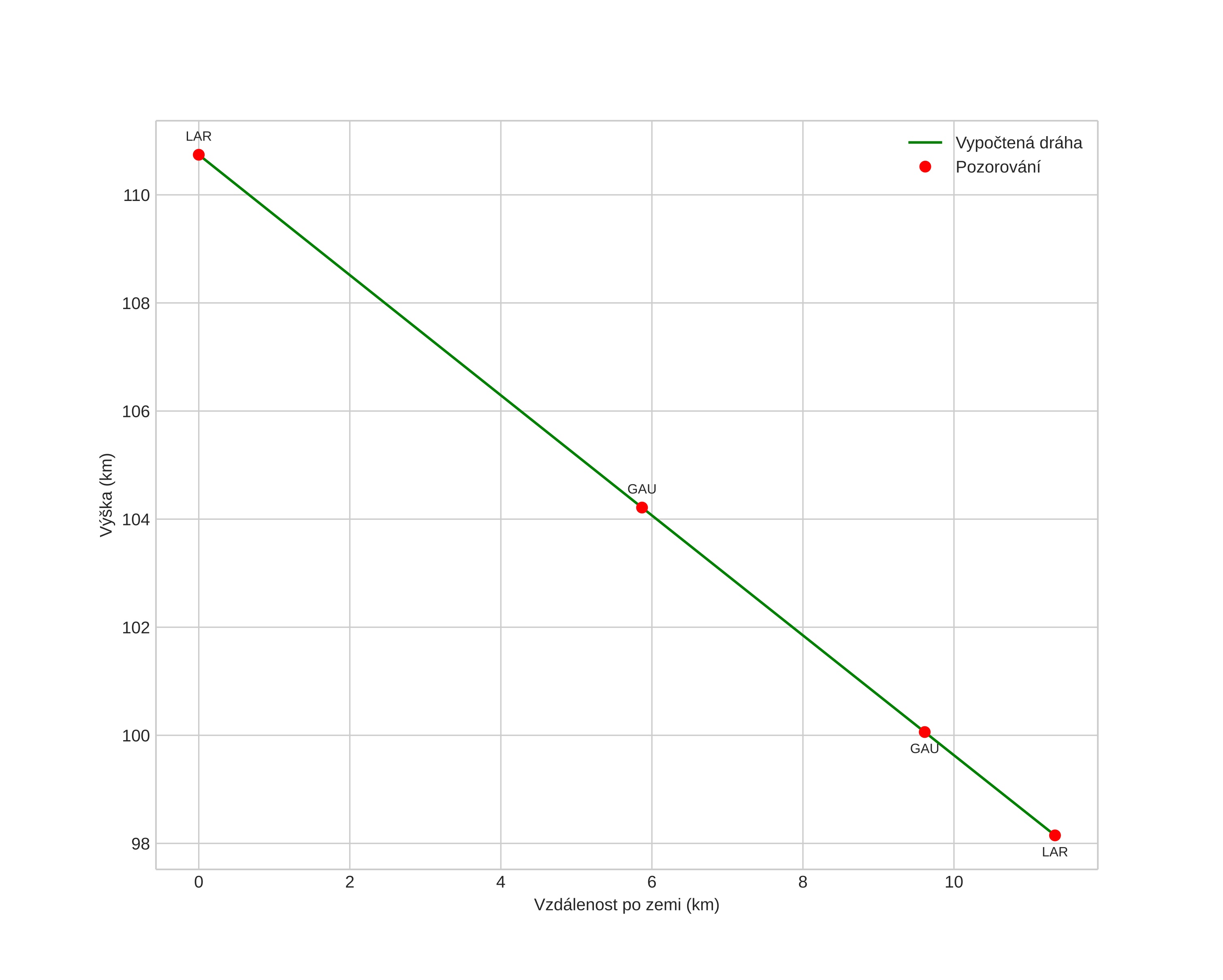
height profile
Atmosférická dráha meteoru:
Počáteční výška: 112,9 km
Konečná výška: 98,7 km
Počáteční poloha: 58,728N 10,371E
Konečná poloha: 58,697N 10,157E
Směr: 254,9°
Sklon: 48,0°
VstupnĂ­ rychlost: 73,0 km/s
Rektascenze radiantu: 06:12 (93,1°)
Deklinace radiantu: 46,4°
MeteorickĂ˝ roj: Delta Aurigidy
Elementy dráhy meteoroidu:
Vzdálenost v periheliu: 0,761 AU
Excentricita: 1,581
Sklon dráhy: 137,8°
Délka vzestupného uzlu: 205,5°
Argument perihelia: 232,1°
Střední anomálie: -17,3°
Epocha: 2025 OCT 18 23:02:57
orbit plot

NeinteraktivnĂ­ graf | InteraktivnĂ­ graf

position vs time
speed and acceleration

Gaustatoppen (GAU) cam3


gnomonic
Videa
• Gnomonická
• Gnomonická se souřadnicemi
• Původní
• Původní se souřadnicemi
Obrázky
• Gnomonická
• Gnomonická se souřadnicemi
• Původní
• Původní se souřadnicemi
Textové soubory
• Detekce
• Pozorování
• Souřadnice
• Protokol
Jasnost

Larvik (LAR) cam7


gnomonic
Videa
• Gnomonická
• Gnomonická se souřadnicemi
• Původní
• Původní se souřadnicemi
Obrázky
• Gnomonická
• Gnomonická se souřadnicemi
• Původní
• Původní se souřadnicemi
Textové soubory
• Detekce
• Pozorování
• Souřadnice
• Protokol
Jasnost