🇳🇴 🇬🇧 🇩🇪 🇨🇿 🇫🇮

Meteor over Stavern 2025-10-18 23:02:57 UTC

KML-fil  |  Interaktivt kart

Kartet viser peilingene for meteoren. De lysere linjene viser retningene fra observasjonsstedene for meteorens tilsynekomst, og de mørkere linjene viser hvor den sist kunne sees. Den blå pila viser meteorens synlige ferd.

static map
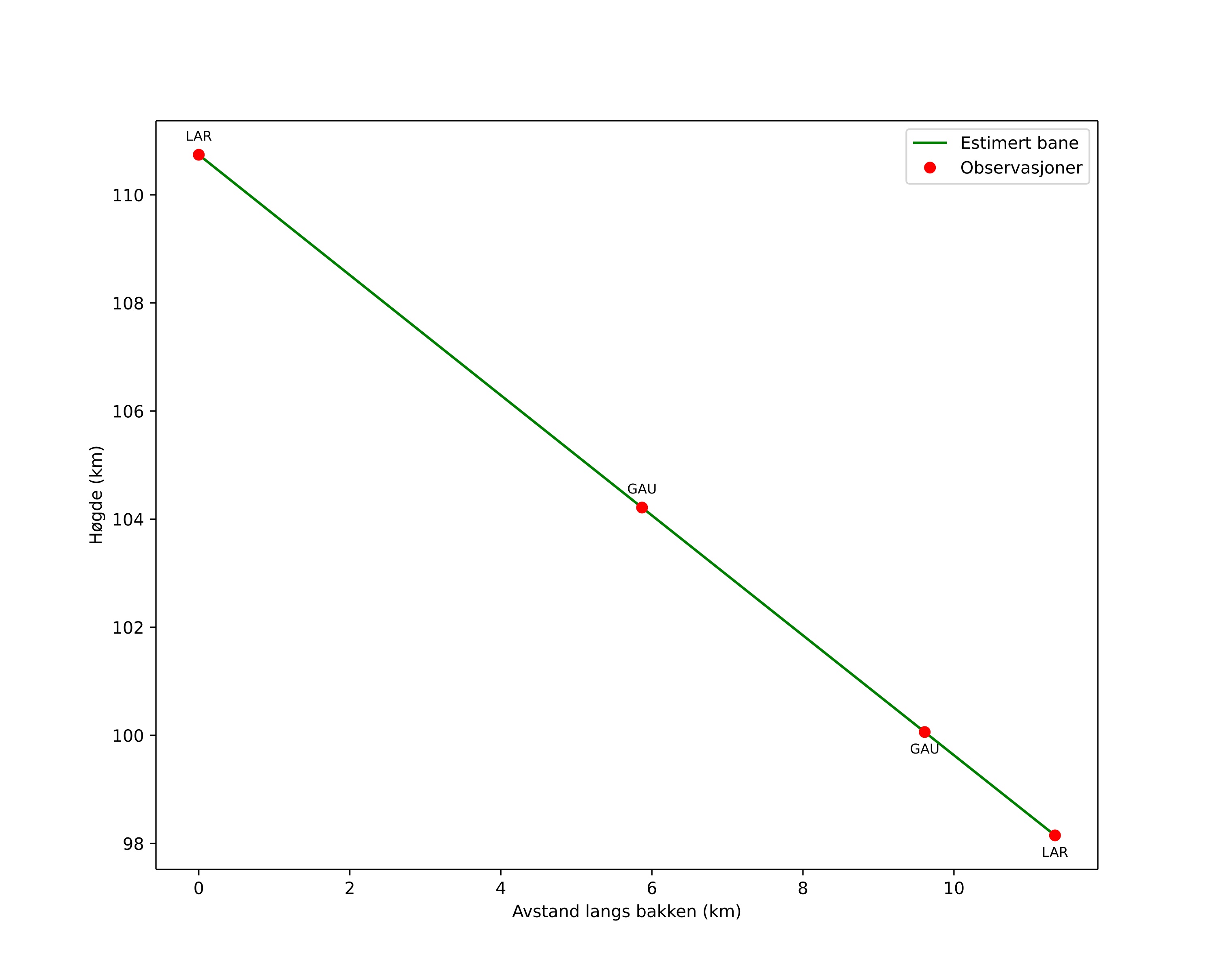
height profile
Meteorens atmosfæriske bane:
Starthøgde: 112,9 km
Slutthøgde: 98,7 km
Startposisjon: 58,728N 10,371E
Sluttposisjon: 58,697N 10,157E
Retning: 254,9°
Fallvinkel: 48,0°
Inngangshastighet: 73,0 km/s
Radiantens rektascensjon: 06:12 (93,1°)
Radiantens deklinasjon: 46,4°
Meteorsverm: Delta-aurigidene
Meteoroidens baneelement:
Perihelavstand: 0,761 AU
Eksentrisitet: 1,581
Inklinasjon: 137,8°
Knutelengde: 205,5°
Perihelargument: 232,1°
Midlere anomali: -17,3°
Epoke: 2025 OCT 18 23:02:57
orbit plot

Ikke-interaktivt plott | Interaktivt plott

position vs time
speed and acceleration

Gaustatoppen (GAU) cam3


gnomonic
Videoer
• Gnomonisk
• Gnomonisk med koordinater
• Original
• Original med koordinater
Bilder
• Gnomonisk
• Gnomonisk med koordinater
• Original
• Original med koordinater
Tekstfiler
• Deteksjon
• Observasjon
• Koordinater
• Logg
Lysstyrke

Larvik (LAR) cam7


gnomonic
Videoer
• Gnomonisk
• Gnomonisk med koordinater
• Original
• Original med koordinater
Bilder
• Gnomonisk
• Gnomonisk med koordinater
• Original
• Original med koordinater
Tekstfiler
• Deteksjon
• Observasjon
• Koordinater
• Logg
Lysstyrke