🇳🇴 🇬🇧 🇩🇪 🇨🇿 🇫🇮

Meteor über Stavern 2025-10-18 23:02:57 UTC

KML-Datei  |  Interaktive Karte

Die Karte zeigt die Peilungen für den Meteor. Die helleren Linien zeigen die Richtungen von den Beobachtungsorten beim Erscheinen des Meteors, und die dunkleren Linien, wo er zuletzt gesehen wurde. Der blaue Pfeil zeigt die sichtbare Bahn des Meteors.

static map
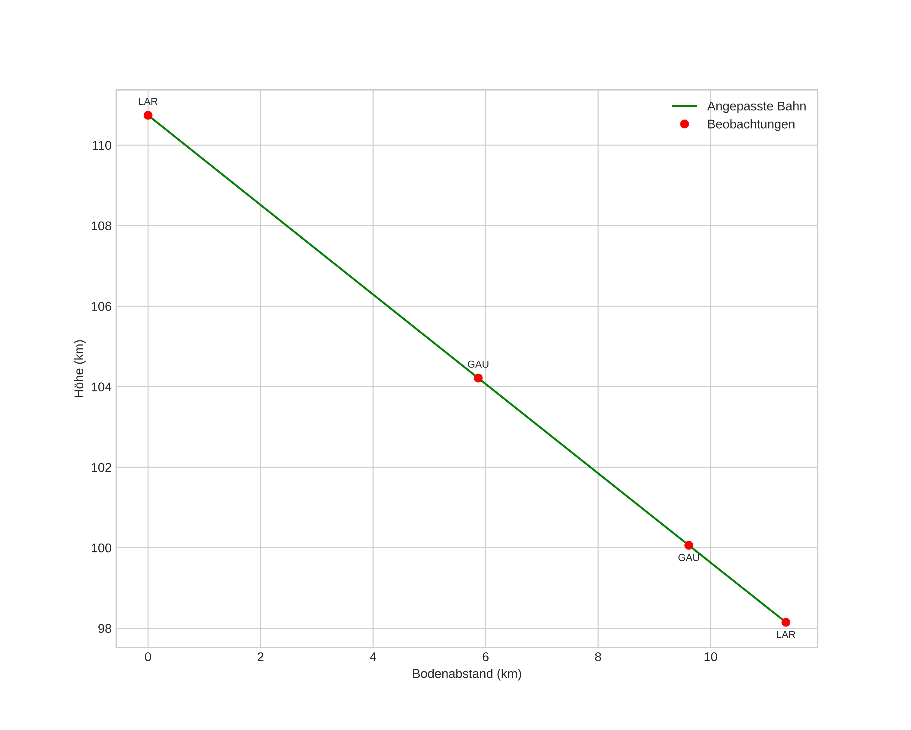
height profile
Atmosphärische Bahn des Meteors:
Anfangshöhe: 112,9 km
Endhöhe: 98,7 km
Startposition: 58,728N 10,371E
Endposition: 58,697N 10,157E
Richtung: 254,9°
Neigungswinkel: 48,0°
Eintrittsgeschwindigkeit: 73,0 km/s
Rektaszension des Radianten: 06:12 (93,1°)
Deklination des Radianten: 46,4°
Meteorstrom: Delta-Aurigiden
Bahnelemente des Meteoroiden:
Periheldistanz: 0,761 AU
Exzentrizität: 1,581
Inklination: 137,8°
Länge des aufsteigenden Knotens: 205,5°
Argument des Perihels: 232,1°
Mittlere Anomalie: -17,3°
Epoche: 2025 OCT 18 23:02:57
orbit plot

Nicht-interaktives Diagramm | Interaktives Diagramm

position vs time
speed and acceleration

Gaustatoppen (GAU) cam3


gnomonic
Videos
• Gnomonisch
• Gnomonisch mit Koordinaten
• Original
• Original mit Koordinaten
Bilder
• Gnomonisch
• Gnomonisch mit Koordinaten
• Original
• Original mit Koordinaten
Textdateien
• Erkennung
• Beobachtung
• Koordinaten
• Protokoll
Helligkeit

Larvik (LAR) cam7


gnomonic
Videos
• Gnomonisch
• Gnomonisch mit Koordinaten
• Original
• Original mit Koordinaten
Bilder
• Gnomonisch
• Gnomonisch mit Koordinaten
• Original
• Original mit Koordinaten
Textdateien
• Erkennung
• Beobachtung
• Koordinaten
• Protokoll
Helligkeit