🇳🇴 🇬🇧 🇩🇪 🇨🇿 🇫🇮

Meteor over Grua 2025-10-19 02:29:05 UTC

KML-fil  |  Interaktivt kart

Kartet viser peilingene for meteoren. De lysere linjene viser retningene fra observasjonsstedene for meteorens tilsynekomst, og de mørkere linjene viser hvor den sist kunne sees. Den blå pila viser meteorens synlige ferd.

static map
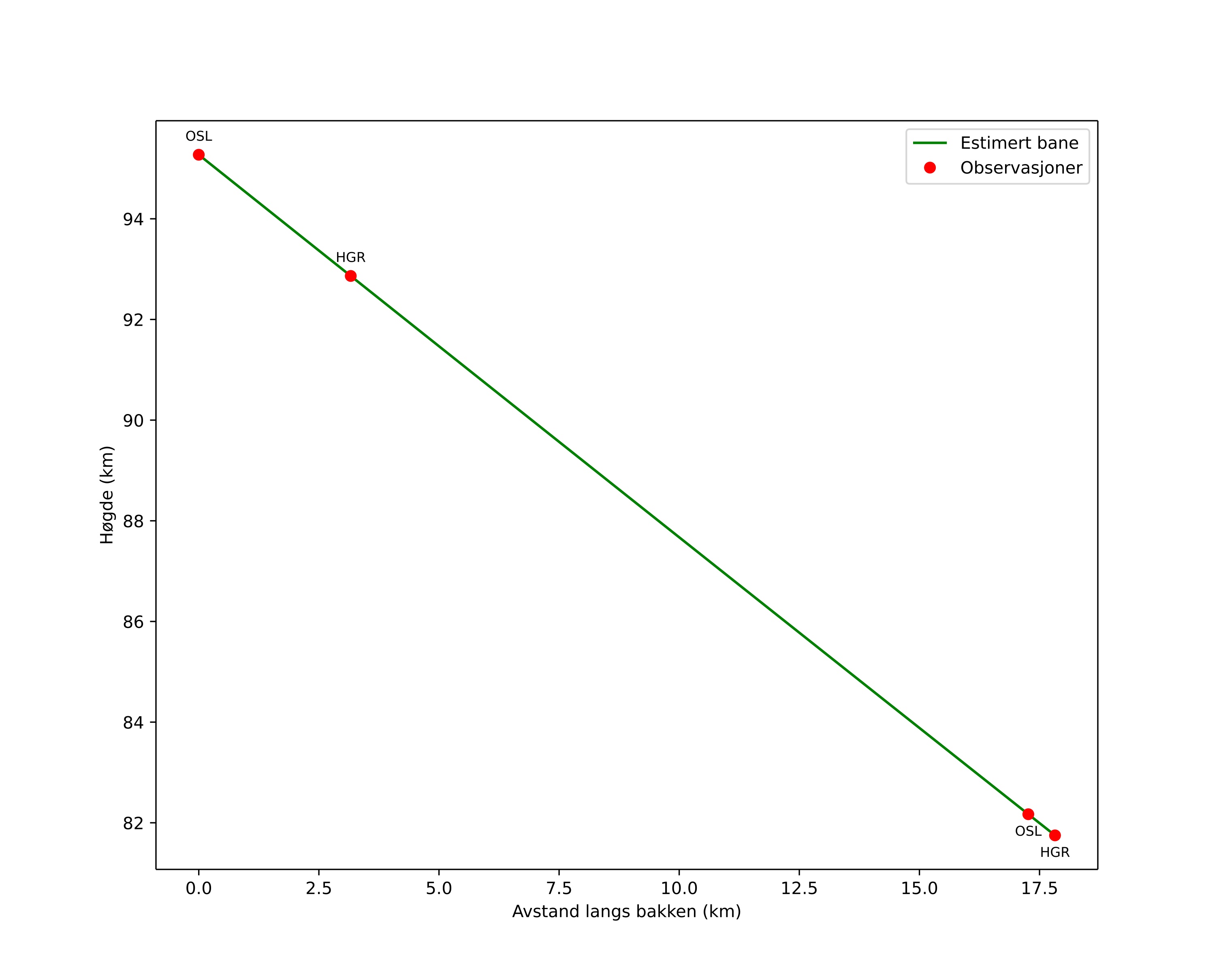
height profile
Meteorens atmosfæriske bane:
Starthøgde: 96,1 km
Slutthøgde: 81,8 km
Startposisjon: 60,189N 10,523E
Sluttposisjon: 60,310N 10,760E
Retning: 44,0°
Fallvinkel: 37,2°
Inngangshastighet: 28,4 km/s
Radiantens rektascensjon: 02:36 (39,2°)
Radiantens deklinasjon: 11,5°
Meteorsverm: Sørlige tauridene
Meteoroidens baneelement:
Perihelavstand: 0,339 AU
Eksentrisitet: 0,781
Inklinasjon: 4,1°
Knutelengde: 25,6°
Perihelargument: 120,3°
Midlere anomali: 337,0°
Epoke: 2025 OCT 19 02:29:05
orbit plot

Ikke-interaktivt plott | Interaktivt plott

position vs time
speed and acceleration

Hagar (HGR) cam6


gnomonic
Videoer
• Gnomonisk
• Gnomonisk med koordinater
• Original
• Original med koordinater
Bilder
• Gnomonisk
• Gnomonisk med koordinater
• Original
• Original med koordinater
Tekstfiler
• Deteksjon
• Observasjon
• Koordinater
• Logg
Lysstyrke

Voksenlia (OSL) cam7


gnomonic
Videoer
• Gnomonisk
• Gnomonisk med koordinater
• Original
• Original med koordinater
Bilder
• Gnomonisk
• Gnomonisk med koordinater
• Original
• Original med koordinater
Tekstfiler
• Deteksjon
• Observasjon
• Koordinater
• Logg
Lysstyrke