🇳🇴 🇬🇧 🇩🇪 🇨🇿 🇫🇮

Meteor Gruan yllä 2025-10-19 02:29:05 UTC

KML-tiedosto  |  Interaktiivinen kartta

Kartta näyttää meteorin suuntahavainnot. Vaaleammat viivat näyttävät suunnat havaintoasemilta meteorin ilmestyessä, ja tummemmat viivat näyttävät, missä se viimeksi nähtiin. Sininen nuoli näyttää meteorin näkyvän lennon.

static map
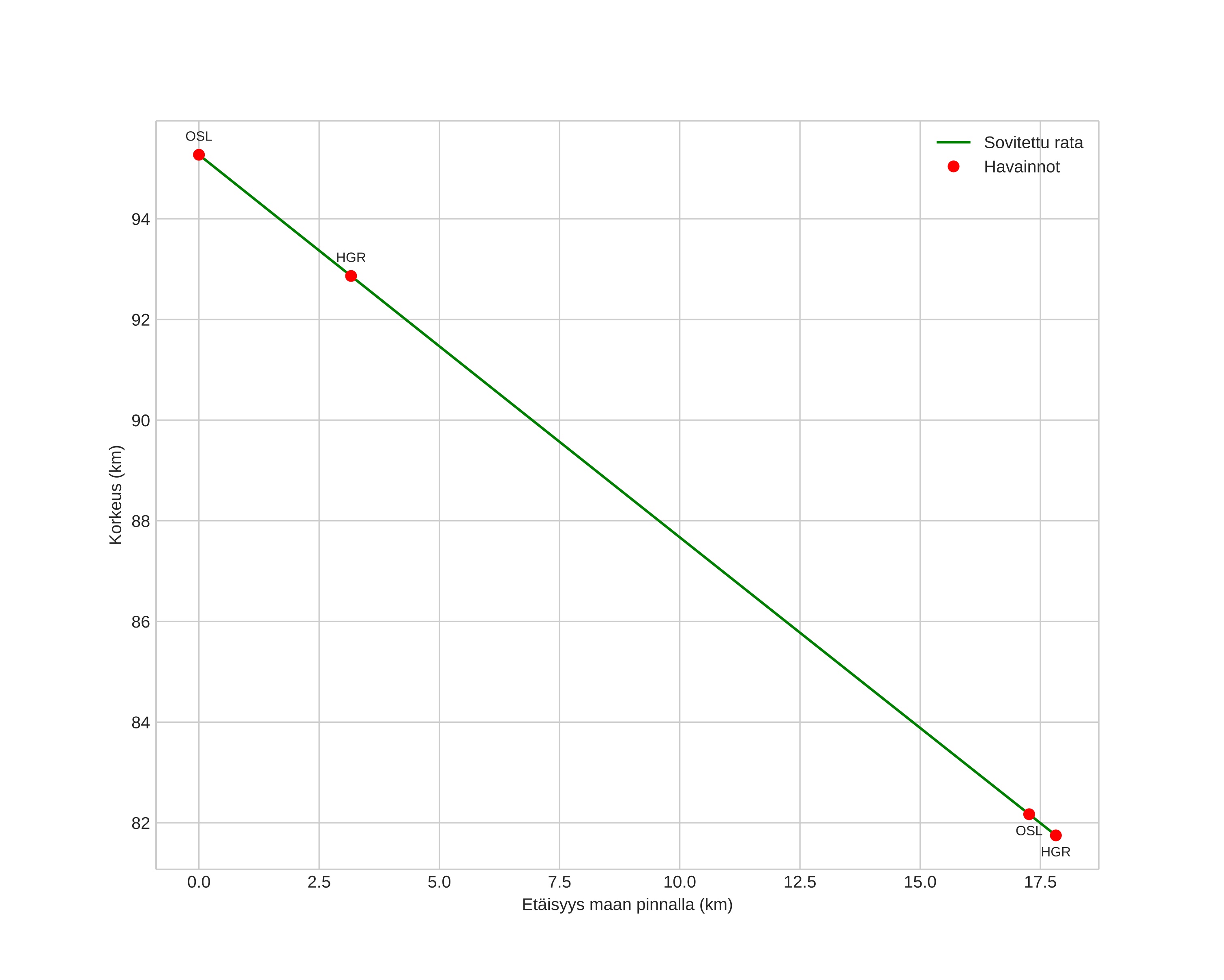
height profile
Meteorin ilmakehärata:
Alkukorkeus: 96,1 km
Loppukorkeus: 81,8 km
Alkupiste: 60,189N 10,523E
Loppupiste: 60,310N 10,760E
Suunta: 44,0°
Kallistuskulma: 37,2°
Tulonopeus: 28,4 km/s
Radiantin R,A,: 02:36 (39,2°)
Radiantin Dekl,: 11,5°
Meteoriparvi: Eteläiset tauridit
Meteoroidin rataelementit:
Perihelietäisyys: 0,339 AU
Eksentrisyys: 0,781
Inklinaatio: 4,1°
Nousevan solmun pituus: 25,6°
Perihelin argumentti: 120,3°
Keskianomalia: 337,0°
Epookki: 2025 OCT 19 02:29:05
orbit plot

Ei-interaktiivinen kuvaaja | Interaktiivinen kuvaaja

position vs time
speed and acceleration

Hagar (HGR) cam6


gnomonic
Videot:
• Gnomoninen
• Gnomoninen koordinaateilla
• Alkuperäinen
• Alkuperäinen koordinaateilla
Kuvat:
• Gnomoninen
• Gnomoninen koordinaateilla
• Alkuperäinen
• Alkuperäinen koordinaateilla
Tekstitiedostot:
• Havaintoraportti
• Observaatio
• Koordinaatit
• Loki
Kirkkaus

Voksenlia (OSL) cam7


gnomonic
Videot:
• Gnomoninen
• Gnomoninen koordinaateilla
• Alkuperäinen
• Alkuperäinen koordinaateilla
Kuvat:
• Gnomoninen
• Gnomoninen koordinaateilla
• Alkuperäinen
• Alkuperäinen koordinaateilla
Tekstitiedostot:
• Havaintoraportti
• Observaatio
• Koordinaatit
• Loki
Kirkkaus