🇳🇴 🇬🇧 🇩🇪 🇨🇿 🇫🇮

Meteor, poloha: Grua 2025-10-19 02:29:05 UTC

Soubor KML  |  Interaktivní mapa

Mapa zobrazuje dráhy meteoru. Světlejší čáry ukazují směry od pozorovacích stanic při objevení se meteoru a tmavší čáry, kde byl naposledy viděn. Modrá šipka značí viditelnou dráhu meteoru.

static map
height profile
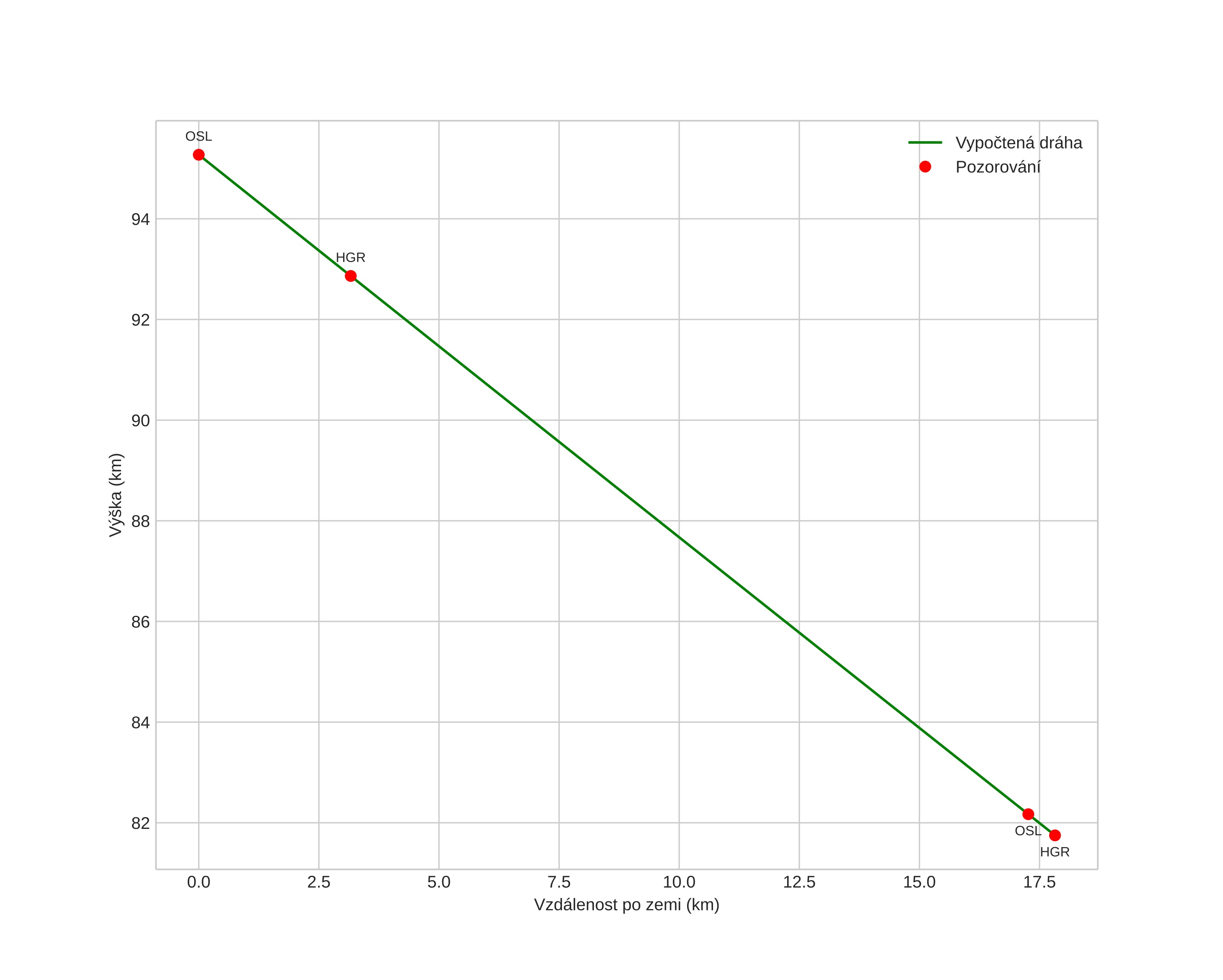
Atmosférická dráha meteoru:
Počáteční výška: 96,1 km
Konečná výška: 81,8 km
Počáteční poloha: 60,189N 10,523E
Konečná poloha: 60,310N 10,760E
Směr: 44,0°
Sklon: 37,2°
Vstupní rychlost: 28,4 km/s
Rektascenze radiantu: 02:36 (39,2°)
Deklinace radiantu: 11,5°
Meteorický roj: Jižní Tauridy
Elementy dráhy meteoroidu:
Vzdálenost v periheliu: 0,339 AU
Excentricita: 0,781
Sklon dráhy: 4,1°
Délka vzestupného uzlu: 25,6°
Argument perihelia: 120,3°
Střední anomálie: 337,0°
Epocha: 2025 OCT 19 02:29:05
orbit plot

Neinteraktivní graf | Interaktivní graf

position vs time
speed and acceleration