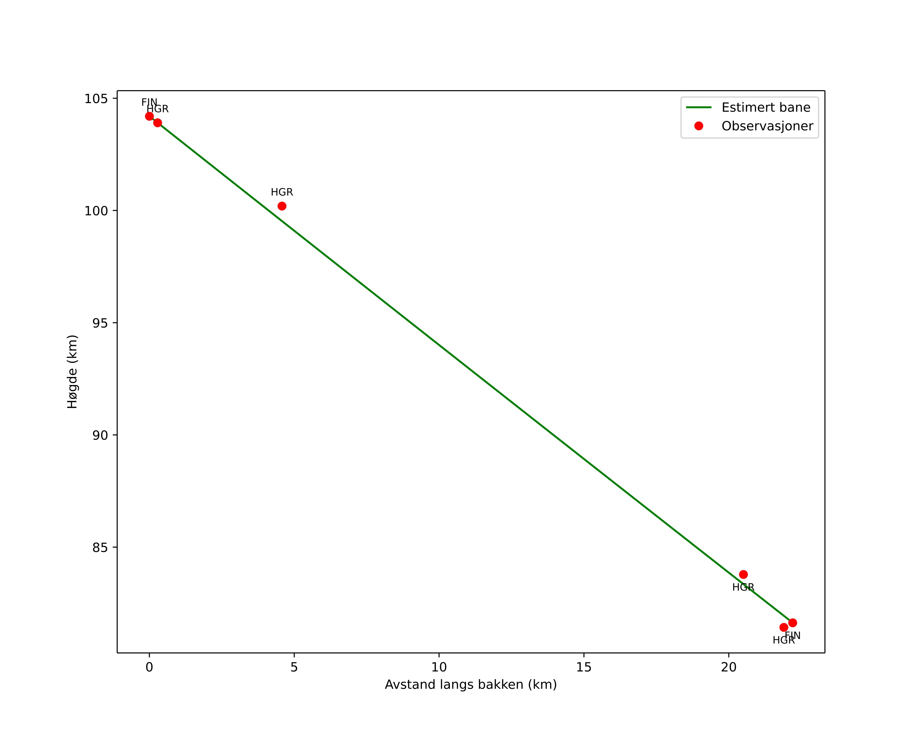
Atmosphärische Bahn des Meteors:
| Anfangshöhe: | 104,4 km |
| Endhöhe: | 81,6 km |
| Startposition: | 62,677N 14,039E |
| Endposition: | 62,678N 13,600E |
| Richtung: | 270,5° |
| Neigungswinkel: | 45,5° |
| Eintrittsgeschwindigkeit: | 67,2 km/s |
| Rektaszension des Radianten: | 10:27 (156,9°) |
| Deklination des Radianten: | 39,0° |
| Meteorstrom: | leo-minoridene |
|
Bahnelemente des Meteoroiden:
| Periheldistanz: | 0,690 AU |
| Exzentrizität: | 1,272 |
| Inklination: | 126,3° |
| Länge des aufsteigenden Knotens: | 205,6° |
| Argument des Perihels: | 116,8° |
| Mittlere Anomalie: | 7,7° |
| Epoche: | 2025 OCT 19 03:23:25 |
|