🇳🇴 🇬🇧 🇩🇪 🇨🇿 🇫🇮

Meteor, poloha: Järpen 2025-10-19 03:23:25 UTC

Soubor KML

Mapa zobrazuje dráhy meteoru. Světlejší čáry ukazují směry od pozorovacích stanic při objevení se meteoru a tmavší čáry, kde byl naposledy viděn. Modrá šipka značí viditelnou dráhu meteoru.

static map
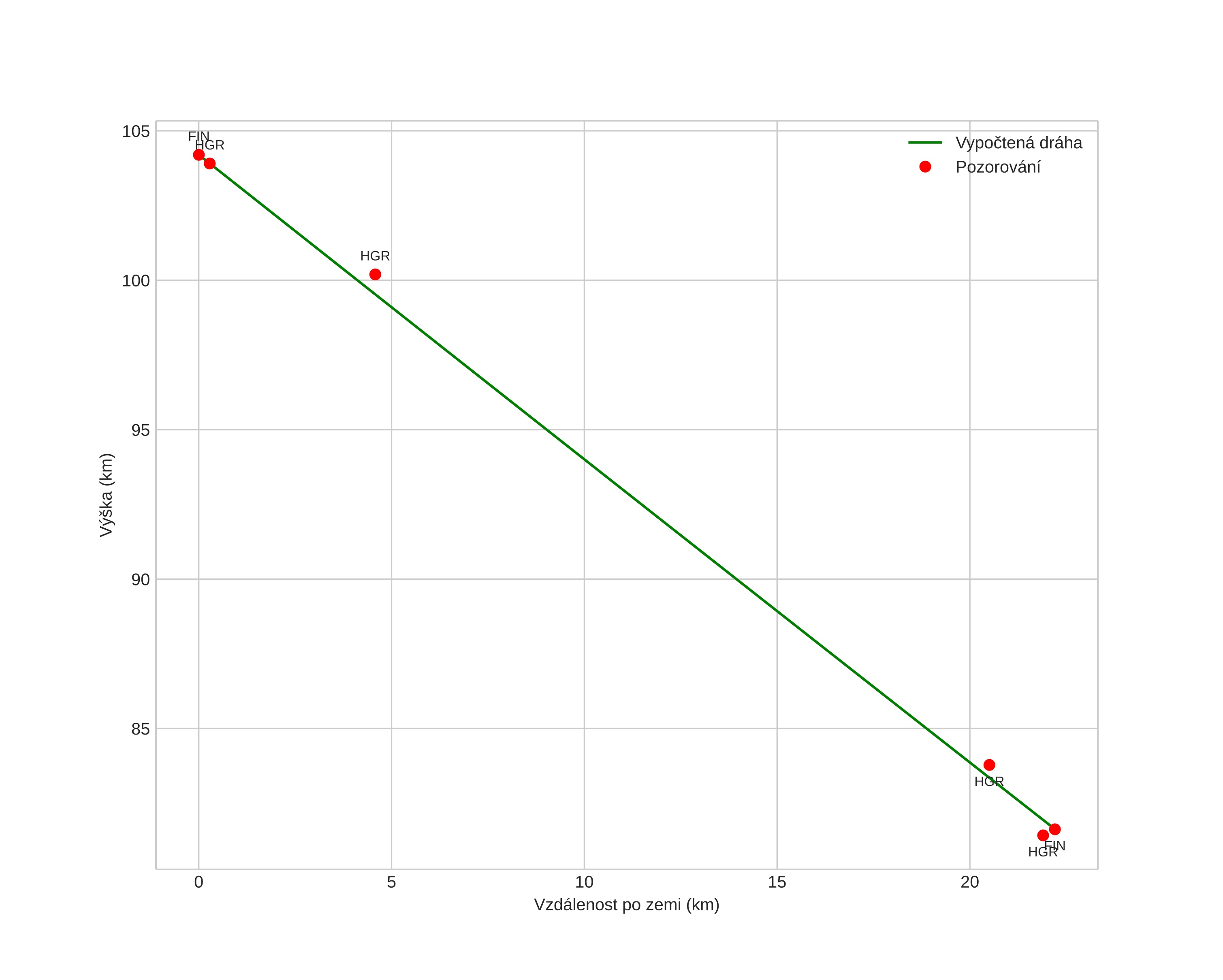
height profile
Atmosférická dráha meteoru:
Počáteční výška: 104,2 km
Konečná výška: 81,6 km
Počáteční poloha: 62,677N 14,036E
Konečná poloha: 62,678N 13,600E
Směr: 270,5°
Sklon: 45,5°
VstupnĂ­ rychlost: 67,3 km/s
Rektascenze radiantu: 10:27 (157,0°)
Deklinace radiantu: 39,0°
MeteorickĂ˝ roj: leo-minoridene
Elementy dráhy meteoroidu:
Vzdálenost v periheliu: 0,691 AU
Excentricita: 1,276
Sklon dráhy: 126,2°
Délka vzestupného uzlu: 205,6°
Argument perihelia: 117,0°
Střední anomálie: 7,9°
Epocha: 2025 OCT 19 03:23:25
orbit plot

NeinteraktivnĂ­ graf

position vs time
speed and acceleration

Finnskogen (FIN) cam1


gnomonic
Videa
• Gnomonická
• Gnomonická se souřadnicemi
• Původní
• Původní (HEVC)
• Původní se souřadnicemi
Obrázky
• Gnomonická
• Gnomonická se souřadnicemi
• Původní
• Původní se souřadnicemi
Textové soubory
• Detekce
• Pozorování
• Souřadnice
• Protokol
Jasnost

Hagar (HGR) cam2


gnomonic
Videa
• Gnomonická
• Gnomonická se souřadnicemi
• Původní
• Původní (HEVC)
• Původní se souřadnicemi
Obrázky
• Gnomonická
• Gnomonická se souřadnicemi
• Původní
• Původní se souřadnicemi
Textové soubory
• Detekce
• Pozorování
• Souřadnice
• Protokol
Jasnost

Hagar (HGR) cam3


gnomonic
Videa
• Gnomonická
• Gnomonická se souřadnicemi
• Původní
• Původní (HEVC)
• Původní se souřadnicemi
Obrázky
• Gnomonická
• Gnomonická se souřadnicemi
• Původní
• Původní se souřadnicemi
Textové soubory
• Detekce
• Pozorování
• Souřadnice
• Protokol
Jasnost