🇳🇴 🇬🇧 🇩🇪 🇨🇿 🇫🇮

Meteor über Järpen 2025-10-19 03:23:25 UTC

KML-Datei

Die Karte zeigt die Peilungen für den Meteor. Die helleren Linien zeigen die Richtungen von den Beobachtungsorten beim Erscheinen des Meteors, und die dunkleren Linien, wo er zuletzt gesehen wurde. Der blaue Pfeil zeigt die sichtbare Bahn des Meteors.

static map
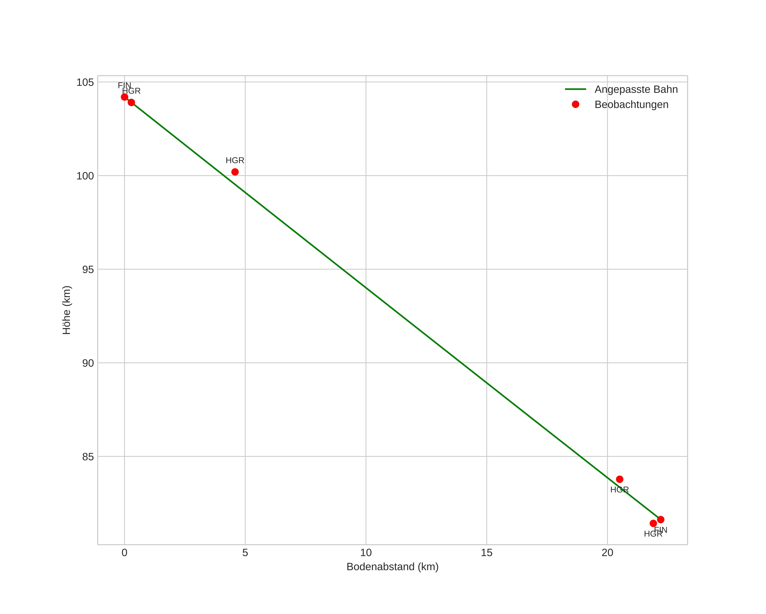
height profile
Atmosphärische Bahn des Meteors:
Anfangshöhe: 104,2 km
Endhöhe: 81,6 km
Startposition: 62,677N 14,036E
Endposition: 62,678N 13,600E
Richtung: 270,5°
Neigungswinkel: 45,5°
Eintrittsgeschwindigkeit: 67,3 km/s
Rektaszension des Radianten: 10:27 (157,0°)
Deklination des Radianten: 39,0°
Meteorstrom: leo-minoridene
Bahnelemente des Meteoroiden:
Periheldistanz: 0,691 AU
Exzentrizität: 1,276
Inklination: 126,2°
Länge des aufsteigenden Knotens: 205,6°
Argument des Perihels: 117,0°
Mittlere Anomalie: 7,9°
Epoche: 2025 OCT 19 03:23:25
orbit plot

Nicht-interaktives Diagramm

position vs time
speed and acceleration

Finnskogen (FIN) cam1


gnomonic
Videos
• Gnomonisch
• Gnomonisch mit Koordinaten
• Original
• Original (HEVC)
• Original mit Koordinaten
Bilder
• Gnomonisch
• Gnomonisch mit Koordinaten
• Original
• Original mit Koordinaten
Textdateien
• Erkennung
• Beobachtung
• Koordinaten
• Protokoll
Helligkeit

Hagar (HGR) cam2


gnomonic
Videos
• Gnomonisch
• Gnomonisch mit Koordinaten
• Original
• Original (HEVC)
• Original mit Koordinaten
Bilder
• Gnomonisch
• Gnomonisch mit Koordinaten
• Original
• Original mit Koordinaten
Textdateien
• Erkennung
• Beobachtung
• Koordinaten
• Protokoll
Helligkeit

Hagar (HGR) cam3


gnomonic
Videos
• Gnomonisch
• Gnomonisch mit Koordinaten
• Original
• Original (HEVC)
• Original mit Koordinaten
Bilder
• Gnomonisch
• Gnomonisch mit Koordinaten
• Original
• Original mit Koordinaten
Textdateien
• Erkennung
• Beobachtung
• Koordinaten
• Protokoll
Helligkeit