🇳🇴 🇬🇧 🇩🇪 🇨🇿 🇫🇮

Meteor Hattengin yllä 2025-10-21 01:00:10 UTC

KML-tiedosto  |  Interaktiivinen kartta

Kartta näyttää meteorin suuntahavainnot. Vaaleammat viivat näyttävät suunnat havaintoasemilta meteorin ilmestyessä, ja tummemmat viivat näyttävät, missä se viimeksi nähtiin. Sininen nuoli näyttää meteorin näkyvän lennon.

static map
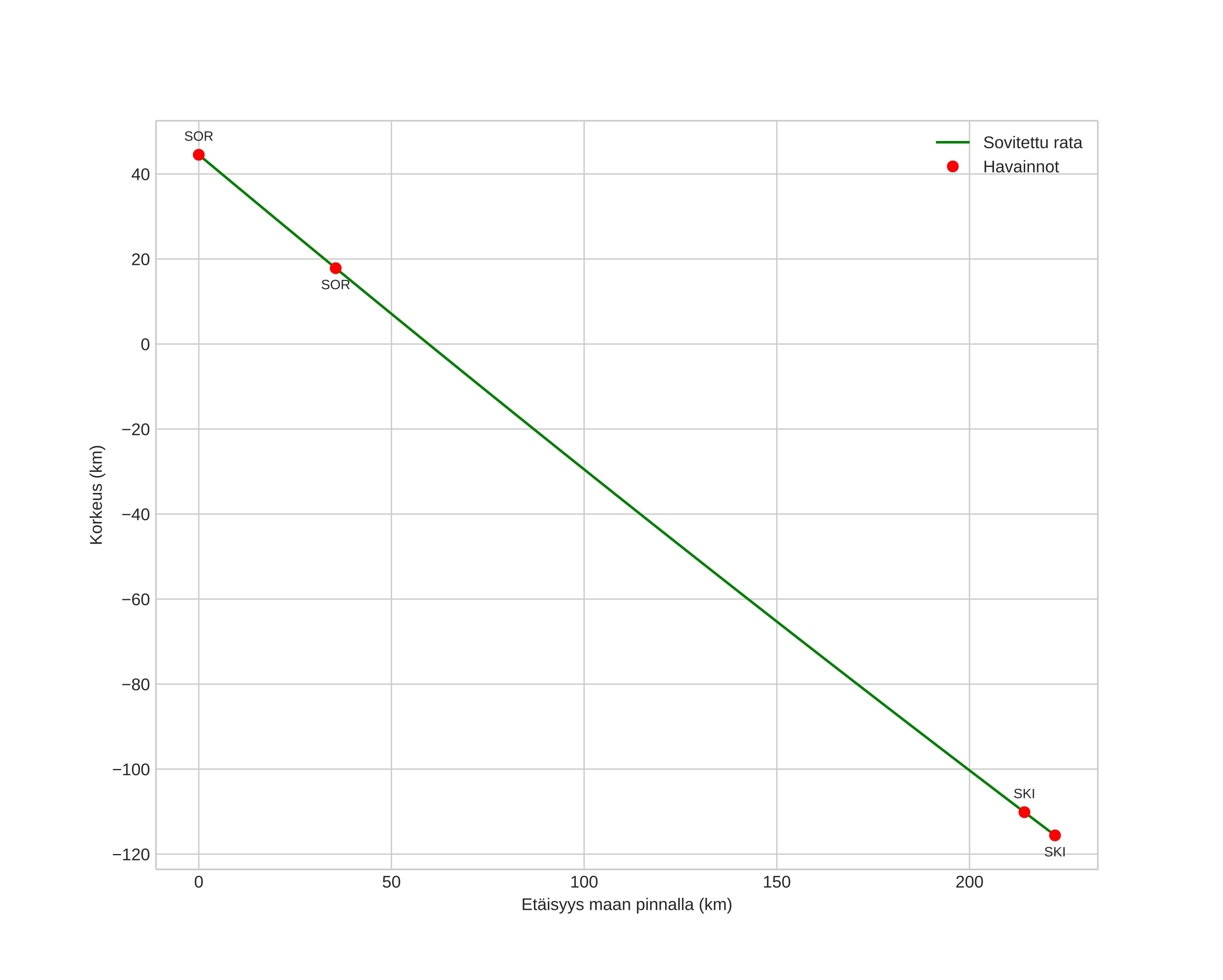
height profile
Meteorin ilmakehärata:
Alkukorkeus: 44,5 km
Loppukorkeus: -115,8 km
Alkupiste: 69,768N 15,445E
Loppupiste: 68,886N 20,541E
Suunta: 113,7°
Kallistuskulma: 35,7°
Tulonopeus: 76,6 km/s
Radiantin R,A,: 21:27 (321,8°)
Radiantin Dekl,: 40,9°
Meteoriparvi: Sporadinen
Meteoroidin rataelementit:
Perihelietäisyys: 0,916 AU
Eksentrisyys: 8,061
Inklinaatio: 43,9°
Nousevan solmun pituus: 207,5°
Perihelin argumentti: 204,5°
Keskianomalia: -161,7°
Epookki: 2025 OCT 21 01:00:10
orbit plot

Ei-interaktiivinen kuvaaja | Interaktiivinen kuvaaja

position vs time
speed and acceleration

Skibotn (SKI) cam6


gnomonic
Videot:
• Gnomoninen
• Gnomoninen koordinaateilla
• Alkuperäinen
• Alkuperäinen koordinaateilla
Kuvat:
• Gnomoninen
• Gnomoninen koordinaateilla
• Alkuperäinen
• Alkuperäinen koordinaateilla
Tekstitiedostot:
• Havaintoraportti
• Observaatio
• Koordinaatit
• Loki
Kirkkaus

Sorreisa (SOR) cam5


gnomonic
Videot:
• Gnomoninen
• Gnomoninen koordinaateilla
• Alkuperäinen
• Alkuperäinen koordinaateilla
Kuvat:
• Gnomoninen
• Gnomoninen koordinaateilla
• Alkuperäinen
• Alkuperäinen koordinaateilla
Tekstitiedostot:
• Havaintoraportti
• Observaatio
• Koordinaatit
• Loki
Kirkkaus