🇳🇴 🇬🇧 🇩🇪 🇨🇿 🇫🇮

Meteor over Hatteng 2025-10-21 01:00:10 UTC

KML-fil  |  Interaktivt kart

Kartet viser peilingene for meteoren. De lysere linjene viser retningene fra observasjonsstedene for meteorens tilsynekomst, og de mørkere linjene viser hvor den sist kunne sees. Den blå pila viser meteorens synlige ferd.

static map
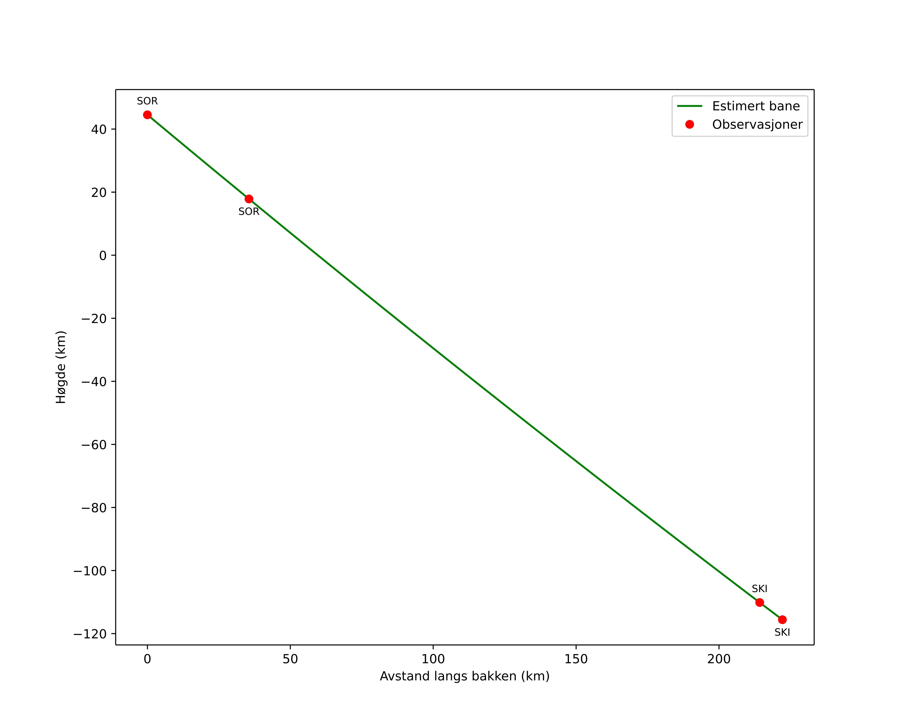
height profile
Meteorens atmosfæriske bane:
Starthøgde: 44,5 km
Slutthøgde: -115,8 km
Startposisjon: 69,768N 15,445E
Sluttposisjon: 68,886N 20,541E
Retning: 113,7°
Fallvinkel: 35,7°
Inngangshastighet: 76,6 km/s
Radiantens rektascensjon: 21:27 (321,8°)
Radiantens deklinasjon: 40,9°
Meteorsverm: sporadisk
Meteoroidens baneelement:
Perihelavstand: 0,916 AU
Eksentrisitet: 8,061
Inklinasjon: 43,9°
Knutelengde: 207,5°
Perihelargument: 204,5°
Midlere anomali: -161,7°
Epoke: 2025 OCT 21 01:00:10
orbit plot

Ikke-interaktivt plott | Interaktivt plott

position vs time
speed and acceleration

Skibotn (SKI) cam6


gnomonic
Videoer
• Gnomonisk
• Gnomonisk med koordinater
• Original
• Original med koordinater
Bilder
• Gnomonisk
• Gnomonisk med koordinater
• Original
• Original med koordinater
Tekstfiler
• Deteksjon
• Observasjon
• Koordinater
• Logg
Lysstyrke

Sorreisa (SOR) cam5


gnomonic
Videoer
• Gnomonisk
• Gnomonisk med koordinater
• Original
• Original med koordinater
Bilder
• Gnomonisk
• Gnomonisk med koordinater
• Original
• Original med koordinater
Tekstfiler
• Deteksjon
• Observasjon
• Koordinater
• Logg
Lysstyrke