🇳🇴 🇬🇧 🇩🇪 🇨🇿 🇫🇮

Meteor über Ulricehamn 2025-10-27 23:09:43 UTC

KML-Datei  |  Interaktive Karte

Die Karte zeigt die Peilungen für den Meteor. Die helleren Linien zeigen die Richtungen von den Beobachtungsorten beim Erscheinen des Meteors, und die dunkleren Linien, wo er zuletzt gesehen wurde. Der blaue Pfeil zeigt die sichtbare Bahn des Meteors.

static map
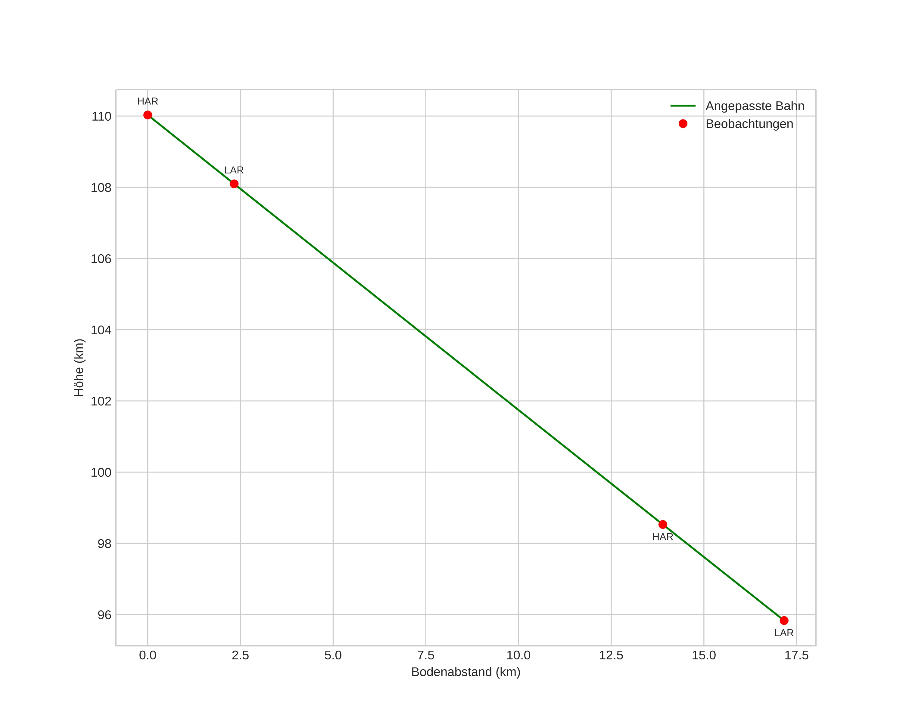
height profile
Atmosphärische Bahn des Meteors:
Anfangshöhe: 107,7 km
Endhöhe: 97,2 km
Startposition: 57,819N 13,448E
Endposition: 57,795N 13,253E
Richtung: 257,2°
Neigungswinkel: 41,6°
Eintrittsgeschwindigkeit: 26,9 km/s
Rektaszension des Radianten: 07:29 (112,4°)
Deklination des Radianten: 39,1°
Meteorstrom: sporadisch
Bahnelemente des Meteoroiden:
Periheldistanz: 0,065 AU
Exzentrizität: 0,881
Inklination: 42,8°
Länge des aufsteigenden Knotens: 214,4°
Argument des Perihels: 354,6°
Mittlere Anomalie: 219,3°
Epoche: 2025 OCT 27 23:09:43
orbit plot

Nicht-interaktives Diagramm | Interaktives Diagramm

position vs time
speed and acceleration

Harestua (HAR) cam3


gnomonic
Videos
• Gnomonisch
• Gnomonisch mit Koordinaten
• Original
• Original mit Koordinaten
Bilder
• Gnomonisch
• Gnomonisch mit Koordinaten
• Original
• Original mit Koordinaten
Textdateien
• Erkennung
• Beobachtung
• Koordinaten
• Protokoll
Helligkeit

Larvik (LAR) cam3


gnomonic
Videos
• Gnomonisch
• Gnomonisch mit Koordinaten
• Original
• Original mit Koordinaten
Bilder
• Gnomonisch
• Gnomonisch mit Koordinaten
• Original
• Original mit Koordinaten
Textdateien
• Erkennung
• Beobachtung
• Koordinaten
• Protokoll
Helligkeit